基本差动放大电路的静态分析


      Ui = 0时,图Z0502的等效直流通路如图Z0503(a)所示。由于电路结构对称,计算静态工作点时,可从半边等效电路着手,图Z0503(a)的半边电路等效过程如图Z0503(b)。这里画等效电路的关键是对Re 的处理。因为Re 可等效为两个阻值为2Re 的的并联,以及等电位点(A、B)之间无,从而又可将并联的2Re 分开,这样便将电路分成了两半,如图Z0503(c)所示。这里假定了Rw滑动头处于中间位置。
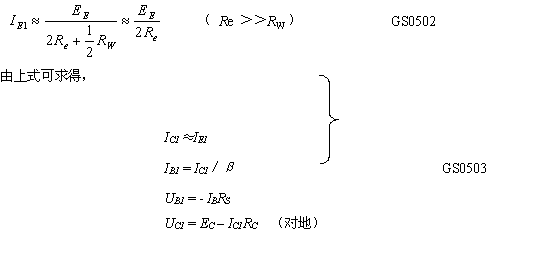
    计算静态工作点可从基极回路开始,由图Z0503(c)可得:
      
一般情况下,上式前两项较第三项小的多,可以忽略,从而可得
         
    因IE1 =IE2 = IE2,由GS0502式可见,IE≈ EE/Re,这表明差动放大电路中Re有恒流作用,当电路中Re 、EE确定后,工作点就确定了,射极总电流 IE也就确定了。当温度变化时,IE基本上是稳定的,且Re 与EE越大,对应同样的温漂( △UBE),IE变化越小,电路工作点越稳定。