若输入到图Z0502中,差分对管(T1、T2)基极的信号Ui1、Ui2大小相等、极性相反,

这种输入方式称为差模输入方式,所加信号称为差模信号,常用Uid表示,Uid = Ui1 - Ui2,

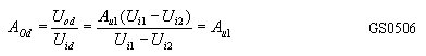
设单管放大电路的放大倍数为Au1、Au2,由于电路对称,Au1=Au2 ,则差动放大电路的输出电压为:
Uod = Uo1 - Uo2 = Au1Ui1 - Au2Ui2 = Au1(Ui1 - Ui2) GS0505
即输出电压与输入电压之差成比例,故称差分放大电路。
在差模输入时,Ui1 - Ui2 = Uid ,由式GS0504和式GS0505可得:

这表明差动放大电路双端输入一双端输出时的差模电压放大倍数等于单管放大电路的放大倍数。
计算差模放大倍数,可采用第二单元中介绍的微变等效电路分析法。先画出图Z0502电路的交流等效电路,如图Z0504所示。这里要注意两点,一是由于Ui1 = - Ui2 = Uid /2,则 Ie1 = Ie2,流过Re的差模信号为零,因此,Re对差模信号相当于短路,这与单管放大电路中的Re不同;二是由于Ui1 = - Ui2 ,且电路对称,UC1升高多少,UC2就下降多少,RL的中点电位保持不变,对应于交流地电位为零。因此,半边交流等效电路如图Z0504(b)所示。将图中三极管用简化h参数等效电路代替,便可求得单管放大电路的放大倍数,即:

若输出信号取自图Z0502电路某一管的集电极即单端输出方式,此时,输出信号有一半没有利用,即Uod = Uo1(双端输出时Uod = 2Uo1 ),放大倍数必然减小一半,故:
(单端输出:T1集电极输出) GS0508二、共板抑制比CMRR
若图Z0502电路输入端输入一对相同,大小相等的信号,这种输入方式称为共模输入方式。
所加信号称为共模信号,用U表示,Uic = Ui1 = Ui2。温度变化,电压波动等引起的零点漂移折合到放大电路输入端的漂移电压,相当于输入端加了"共模信号",外界电磁干扰对放大电路的影响也相当于输入端加了"共模信号"。可见,共模信号对放大电路是一种干扰信号,因此,放大电路对共模信号不仅不应放大,反而应当有较强的抑制能力。图Z0502电路,双端输出时,若电路完全对称,则 UOC = UO1 - UO2 = 0,共模信号被完全抑制掉。若电路对称性稍差,则由于共模输入时,引起两管电流变化是的,通过Re的电流约为单管射极电流的两倍,Re对共模信号将产生很强的负反馈作用,使共模信号仍能得到较强的抑制。
对共模信号而言,图Z0502电路的等效电路如图Z0505所示。其中图(b)为半边等效电路。由于Re仅对共模信号产生负反馈,而对差模。信号没有影响,故称之为共模负反馈。电路中一般都将 Re选的很大,以对共模信号引入深度负反馈。根据深度负反馈放大电路的计算方法(Xi≈Xf )可由图示电路算出单端输出时的共模放大倍数: Ui≈Uf = Ie(2Re + 1/2Rw)≈2 Re Ie
Uo = IoRc = - IeRc
可得:
(单端输出时的共模放大倍数) GS0509
只要2Re>?/font>Rc,则Auc(单)<1,电路对共模信号就有较强的抑制能力。
为了衡量差动放大电路对差模信号的放大和对共模信号的抑制能力,引入"共模抑制比"这一指标。定义为:
![]()
CMRR越大,说明差动放大电路的质量越好。
双端输入-双端输出时,若电路完全对称,则 ![]()
它表明对称性越高,抑制比越高。
双端输入-单端输出时,
它表明Re越大,共模负反馈越强,共模抑制比越高。
三、输入和输出
差动放大电路的差模输入电阻是指差模输入时,从两输入端看进去的等效电阻,由图I0544(a)的微变等效电路即可求得:
![]()
共模输入电阻是指共模输入时,从输入端看进去的等效电阻,由图I0545(a)画出微变等效电路可得:
![]()
电路的输出电阻是从放大器输出端看进去的电阻。当从双端输出时,其差模输出电阻为:
ro(双)=2Rc GS0515
单端输出时,其差模输出电阻为:
ro (单)=Rc GS0516
例题0401已知:图Z0502电路中,Rc=30kΩ,Rs=5kΩ,Re=20kΩ,Ec=EE=15V,RL = ∞;的β=50、rbe = 4kΩ。
(1)试求双端输出时的差模放大倍数Aud(双);
(2)若电路改为从T1管集电极单端输出,试计算此时的 Aud(单)、Auc(单)、CMRR;
(3)若T1、T2发射极接入调零电位器Rw=200Ω、其滑动端处于中间位置,则单端输出时的Aud(单)、Auc(单)、CMRR各为多少?
解:(1)双端输出时的放大倍数为:
(2)单端输出时,Aud(单)=
(双)
(3)接入RW后,它对共模信号和差模信号均产生负反馈作用,从而使| Aud| 、|Auc| 均下降。当单端输出时:Aud(单)= -5.32 由于2Re>Rw /2 ,Auc(单)几乎不变,即Auc(单)≈-0.75,CMRR≈71。