有关电流计算公式与电流单位换算方法,电流的大小用单位时间内通过导线横截面的电量(电流强度)来衡量,公式中通常用大写字母I表示电流,电流的单位安培包括毫安(mA)、微安(μA)和千安(kA)。
电流计算公式与电流单位的换算方法
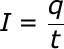
1、电流计算公式
电流的大小是用单位时间内通过导线横截面的电量(电流强度)来衡量,公式中通常用大写字母I表示电流。
用q表示单位时间内(字母t表示)通过导线横截面的电量。电流计算公式如下:

公式中,t作为时间单位用秒(s)计,电量q的单位用库伦(c),而电量I的单位就是安培(A),这个大家初中都学过的。
2、电流单位换算
电流的单位安培包括毫安(mA)、微安(μA)和千安(kA),换算如下:
1kA=1000A、1A=1000mA、1mA=1000μA
层层下降,往下一个低级单位换算就除1000即可,重要的是理顺kA、A、mA、μA之间的大小顺序。
电流的大小除了通过计算得到外也可以用电工工具:电流表进行测量(一般用万能表电流档)。