有关电容式传感器的相关知识,这是说一说影响电容式传感器的灵敏度的因素,电容的相对变化量、非线性误差、差动式结构均会对电容传感器的灵敏度产生影响。
电容式传感器的灵敏度
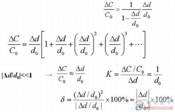
单级变隙电容的相对变化量:

非线性误差:
如果需要提高灵敏度,则要减小d0,但会增加非线性误差。
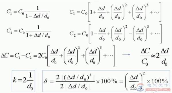
差动式结构:


提高电容传感器的灵敏度的方法
以变面积式电容传感器为例,传感器的灵敏度公式如下:
灵敏度= 电容变化抄量 ÷ 极板位移变化量。
分析:
1、当前电容C = 介电常数ε × [极板长袭a×(极板宽b-极板位移变化量)÷两极板间距d]
极板位移变化量指在b方向上发生的变化。
2、电容变化量 = 最大总电容量C0-当前电容C
根据1和2,推导出:灵敏度 = 电容变化量 ÷ 极板道位移变化量 = -(ε × b ÷ d)
三个数均为常数,则灵敏度一定为常数。
以上介绍了电容式传感器的灵敏度的相关知识,希望对大家有所帮助。