有关电容式传感器的小知识,说一说与等效电路相关的内容,电容传感器的等效电路是什么样的,有哪些优点与缺点,一起来了解下。
电容传感器的等效电路
Rp:极板间的泄漏电阻与涡流损耗。
Rs:引线电阻、电容器支架和极板电阻的损耗。
L:电感由电容器本身的电感和外部引线电感组成。
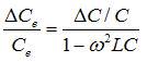
电容相对变化量:
与传感器的固有电感L的角频率ω相关。

主要优点:
1、温度稳定性好
2、结构简单、适应性强
3、动态响应好
4、可非接触测量,有平均效应点。
主要缺点:
1、输出阻抗高,负载能力差
2、寄生电容影响大
3、输出特性非线性
电容式传感器等效电路
如下图:

供电电源频率为谐振频率的1/3~1/2。
(1)L包括引线电缆电感和电容式传感器本身的电感;
(2)r由引线电阻、极板电阻和金属支架电阻组成;
(3)C0为传感器本身的电容;
(4)Cp为引线电缆、所接测量电路及极板与外界所形成的总寄生电容;
(5)Rg是极间等效漏电阻,包括极板间的漏电损耗和介质损耗、极板与外界间的漏电损耗介质损耗,其值在制造工艺上和材料选取上要足够大。
以上就是电容传感器的等效电路的相关知识,希望对大家有所帮助。