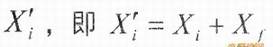
反馈有正、负之分。如果反馈信号Xf与原输入信号Xi是位的,那么,这两个信号将相加而得到净输入信号
比原输入信号Xi大,所以输出信号将变大。这种反馈就是正反馈。正反馈明显的特点是,闭环增益比开环增益更大。即加入反馈后增益提高了。
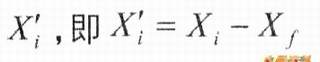
如果反馈信号Xf与原输入信号Xi是的,那么,这两个信号将相减而得到净输入信号
显然
比原输入信号Xf小,输出信号也将变小,这种反馈就是负反馈。负反馈的特点是,闭环增益比开环增益小,即加入反馈后放大器增益降低了。
负反馈虽然可以使放大器的增益下降,因为反馈纠正了放大器带来的种种缺陷改善放大器的性能。所以本讲只研究负反馈,在阐述放大器中的反馈时,如果不特意说明,一般都指负反馈。