放大器加入负反馈后,对放大器的增益究竟有多大的影响呢?这与反馈信号Xf的绝对大小有密切关系。而反馈信号Xf的大小与两个量有关。
一是与从输出信号中所取出的比例值大小有关。从输出信号中取出;作为反馈信号,和从输出信号中取出1/10作为反馈信号,两者大小当然是不一样的。我们把这一取出量的比例值称为“反馈系数F”,它是这样定义的:
在反馈放大器中,反馈系数F是小于1或等于1的数值。如果F=0.1,即说明反馈信号大小占输出信号的十分之一。如果F=1,说明将输出信号全部反馈到输入端,这种情况叫“全反馈”。
当然不可能有F>1的情形。
二是与放大器原有的增益大小有关,即与开环增益Ao有关。如果两个放大器的输入信号相同,那么必然开环增益大的那个放大器输出的信号比较大。在反馈系数相同的情况下,开环增益大的那个放大器得到的反馈信号自然相对较大。
下面来分析加入负反馈后增益是如何受这两者影响的,即研究闭环增益与开环增益之间有什么关系。
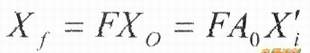
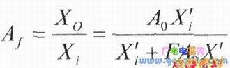
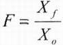
从下图可以看出,

闭环增益
对负反馈来说
其中
所以得到
结论是
这个公式常常被称作负反馈方程式,是一个重要的公式。
开环增益为Ao的放大器,加入反馈系数F的负反馈,增益将下降(1+FAo)倍。我们把(1+FAo)叫做“反馈深度”。
假如有一个放大器,它的开环增益是50倍。
加入反馈系数F=0.1的负反馈,它的实际增益,即闭环增益将只有8.3倍。

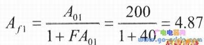
若FAo值比较大,我们就说负反馈比较深。若FAo的值大干10,就称放大器加入了深度负反馈。深度负反馈放大器有一个特点值得我们注意:
因为FAo>10,则可以认为(1+FAo)≈FAo,那么
所以加入深度负反馈的放大器有一个重要特点,它的闭环增益基本上决定于反馈系数,而与原开环增益的大小无关。
开环增益为200倍的放大器加入F=0.2的负反馈,闭环增益是:
这个值约等于反馈系数F的倒数:
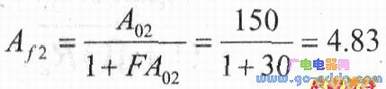
如果这个放大器的开环增益下降了50倍,反馈系数不变,它的闭环增益是:
这个值仍然约等于反馈系数F的倒数:
这说明放大器的开环增益相差50倍时,由于加入了负反馈,可以使增益相差减小到0.04倍,稳定性大大提高。当然这是以牺牲增益为代价的。
由此我们可以得出一个很重要的结论:放大器加入负反馈,将使增益的相对变化量变小。反馈越深,增益的相对变化量越小。