1.十进制数和数之间的转换
采用基数连除、连乘法,可将十进制数转换为二进制数。
例:将(44.375)10转换成二进制数。
解:
得出:(44.375)10=(101100.011)2
2.十进制数和八进制、十六进制数之间的转换
十进制数转换成八进制或十六进制数时,可先转换成二进制数,然后再转换成八进制或十六进制时比较简单。
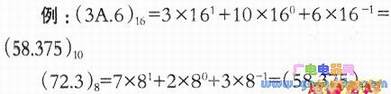
例:将(44.375)10分别转换成八进制和十六进制数。
解:前面已经解出(44.375)10=(101100.011)2
(1)二进制数转换为八进制数将二进制数由小数点开始,整数部分向左,小数部分向右,每3位分成一组,不够3位补零,则每组二进制数便对应一位八进制数。
![]()
(2)八进制数转换为二进制数将每位八进制数用3位二进制数表示。

(3)二进制数转换为十六进制数将二进制数由小数点开始,整数部分向左,小数部分向右,每4位分成一组,不够4位补零,则每组二进制数便对应一位十六进制数。

(4)十六进制数转换为二进制数将每位十六进制数用4位二进制数表示。

任意进制的数若要转换成十进制数,均可采用按位权展开后求和的方式进行。
