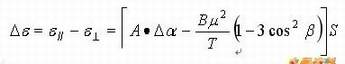
(1)介电各向异性(Δε) 液晶介电各向异性是决定液晶分子在电场中行为的重要参数。Maier等人将Onsager各向同性液体介电性质的公式推广应用于各向异性的液晶,导出如下公式:

式中 ε∥, ε⊥ 平行和垂直于分子轴方向上的介电常数;
Δε----介电各向异性参数;
A,B-----与材料无关的常数;
μ---永久偶极矩;
α-----极化度;
T-----绝对温度,K;
ß---永久偶极矩与分子长轴之间的夹角。
这个表达式对于预测材料的介电各向异性有一定作用,但是很难用来计算液晶的介电特性。Δε> 0的液晶称为正性液晶;Δε<0的液晶为负性液晶,通常正性液晶Δε=10~30,负性Δε= -1~-2。
由上式可见,极化度对介电各向异性的影响是显著的。在向列相液晶分子中,通常都含有容易极化变形的苯环,沿分子长轴方向的极化度大于垂直方向的极化度,ε∥>ε⊥,Δε>0。当分子结构中,用环已烷取代苯环时,л电子体系减少,极化度变弱,从而使Δε变小。如果端基不是烷基,而是烷氧基,也会使极化偶极矩相互抵消,使Δε变小。
(2)率 一般热致液晶具有非离子结构,所以它的总是很低[σ<10-10(Ω.cm)-1]。液晶的导电各向异性可以用来描述。在向列相液晶中总是σ∥、/σ⊥﹥1。这反映了在向列相液晶中,离子沿分轴方向的运动比垂直于分子轴方向的运动要容易得多。而在近晶相液晶中,离子运动在分子层隙间比较容易。所以,σ∥、/σ⊥﹤1。因此,可以从液晶导电各向异性的变化分析液晶的相态。
在实际工作中,常用率ρ代替率σ, ρ=1/σ.液晶率的数量级一般为108-101 2Ω.cm。在制备液晶时,电阻率常作为纯度的表征量。ρ小(σ大)表示杂质离子多,即液晶的纯度差。一般ρ<101 0Ω.cm就认为其不纯。在外场作用时,由于电化学分解会破坏液晶分子结构,直至失去液晶性能,使液晶器件寿命大大降低。实用液晶材料的ρ值一般取1011-101 2Ω.cm。
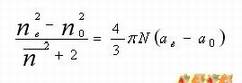
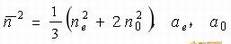
(3)光学各向异性(双折射)(△n) 光在液晶中传播时,会发生光学折射率(n)各向异性,即双折射。当光通过向列相液晶时,非寻常光的折射率(ne)大于寻常光的折射率(n0),即ne>n0。这表明光在液晶中的传播速度(v)存在着ve<v0的关系,即寻常光的传播速度大。这种液晶在光学上称为正光性。向列相液晶几乎都是正光性材料。而胆甾相液晶的光轴与螺旋平行,与分子轴垂直,非寻常光的折射小,即ne<n0。所以胆甾相液晶称为负光性材料。
当向列相液晶的光轴用指向矢n描述时,n∥= ne ,n⊥ = n0,△n = n∥- n⊥=ne- n0。
折射率(n)的大小受液晶分子结构影响,分子极度化度就是其中之一。折射率与极化度的关系可表示为:

式中,N为向列相液晶的密度,
分别是向列相液晶中,平行和垂直于分子轴方向上的极化度。
极化度主要由分子中存在没有参与成键的离域电子和л电子引起,所以,苯环组成的液晶比相应的环已烷组成的液晶分子有更高的△n。酯类液晶是非共轭体系,△n比联苯的小。同样,不同的极性端基基团造成极化度变化。例如,氟或烷基取代基对△n的贡献比氰基小得多。
(4)弹性常数K 液晶分子存在着一种从优取向,即指向矢。在外场作用下,指向矢要发生变化。取消外场时,由于分子间的交互作用,指向矢有恢复到原来平衡状态下取向的趋势,这类形变称为弹性形变,它有三种形式,如图17所示。液晶中的这种弹性形变分别称为展曲、扭曲和弯曲。用K11,K22和K33分别表示展曲、扭曲和弯曲弹性常数。

弯曲 扭曲 展曲
向列相液晶三种基本形变
一般来说,K33> K11> K22,而且K22/ K11在0.4-0.8, K33/ K11 在0.7-1.8,K33 /K22在世1.3-3.2范围内变化。
至今还没有一种满意的理论可以从分子结构中预测弹性常数,还主要是使用经验数据。K33/ K11是最常用的弹性常数比值,端基为短链烷基或烷氧基的液晶分子,K33/ K11值增高。而增加液晶分子刚性部分的长宽比,也会增加K33/ K11 。芳烃和杂环体系要比相应的环烷体系具有更低的K33/ K11。
(5)粘度η 粘度是流体内部阻碍其相对流动的一种特性。假如在流动的流体中,平行于流动方向,将流体分成不同流动速度的各层,则在任何相邻两层的接触面上,就有与面平行而与流动方向相反的阻力,称为粘滞力或内摩擦力。
粘度可分为动力学粘度(用η表示)和运动粘度(用υ表示)。二者之间的关系为υ=η/ρ,ρ为流体的密度。由于通常所用的大多数液晶材料的密度在0.98-1.02g/cm3之间。所以两种粘度数值之间的差别并不大。动力学粘度的单位为Pa·s,运动粘度的单位为m2/s。
粘度的测量方法有奥氏粘度计法、旋转法等。通常所说的体粘度和旋转粘度是因测量方法不同而得到的粘度。它们都属于动力学粘度的范畴。
影响液晶粘度的因素很多,不仅随温度降低,粘度增加,而且与液晶的活化能相关。在相同的温度下,低活化能的液晶,具有低的粘度系数,粘度随温度变化也小。从分子结构上看,液晶分子的中心桥键,端基取代基的极性、极化度、分子中的π电子体系都明显地影响液晶的粘度。