调幅波在不同的情况下,它的功率相差很大,如果把天线看做是发射机的,当它的等放为RA时,则在没有调制的情况下。载波功率(一个内的平均功率)P0为:

由于调制以后、已调波的是变化的,因而,调幅波的功率也是变化的,对应调制不同的瞬间,高频信号一周期内的平均功率也不同、当调幅波幅度达到最大值,即cosΩt = 1时,高频一周内的平均功率最大,为:

当调幅波幅度为最小值,即: cosΩt=-1时,高频一周内的平均功率最小,为:

显然,当ma=1时,Pomax=4Po,Pomin=0,因此,调幅发射机的输出管,只有当它的Pc满足Pc>4Po时,才能安全工作。可见,输出管的利用率很低,这是调幅制的一个缺点。
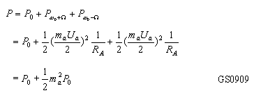
由式GS0908可知:调幅波在调制信号一周内的平均功率P等于载波功率Po、上边频功率Pωo+Ω和下边频功率Pωo-Ω之和,即:

由此可见,只有当ma>0,即进行调制时,功率才增大,但载波功率不变;增加的只是两个边频的功率。当ma=1时,反映信息的两个边频功率增至最大,由式GS0909可算出,此时它为平均功率P的1/3 ,而不反映信息的载波功率却占2/3。据统计,电台广播语言信号时,其平均调幅度仅为0.2~0.25,就以0.3计,则边频功率仅占平均功率的很小一部分,还不足5%,而95%以上的载波功率被白白浪费掉。因此,调幅发射机的功率利用率很低,这是调幅波的又一缺点。
尽管如此,由于调幅制具有占用频带较窄,设备简单等优点,在中、短波广播中和通讯中仍得到广泛应用。
由于载波功率不包含信息,调幅波所传递的信息只包含在两个边带中,因此,可只将载波和其中一个边带发送,这在有线载波和短波无线电通讯中,获得广泛的应用。但它的缺点是设备结构复杂。