如果满足深度负反馈条件,则有:
可见,只要根据反馈类型求出相应的反馈系数F( Fu、Fg、Fr、Fi),再应用公式
2. 利用公式Xf ≈ XI,的近似计算
根据负反馈放大电路的方框图(图Z0301)可知:
而深度负反馈放大电路满足
Xf ≈ Xi GS0330
上式说明:在深度负反馈条件下,反馈信号Xf 和外加输入信号Xi近似相等,即在深度负反馈的放大电路中,有效输入信号 经过放大、反馈得到的反馈信号Xf 很强,与外加的输入信号Xi 近似相等,而二者的极性相反,所以,
对不同组态的负反馈电路,式Xf ≈Xi中的Xf 和Xi表示不同的电量。
对于串联负反馈电路: Uf ≈Ui
对于并联负反馈电路: If ≈ Ii
利用上述概念和公式,可以大大简化对深度负反馈放大电路电压放大倍数的计算过程,并能得到工程上允许的近似结果。
利用式GS0328时,如何根据电路求得F呢?其方法之一是将反馈网络从电路中分离出来,分离时,对电压反馈,反馈网络与基本放大电路相连端用恒压源Uo代替;对反馈,则用恒流源Io代替,如图Z0311(a)、(b)所示。
由于基本放大电路中已经考虑了反馈网络的效应,故这种等效代替是可行的。根据这个等效的有源网络,反馈电压Uf(串联反馈)就是AB端的开路电压,而反馈电流Uf(并联反馈)就是AB端的短路电流。列出关系式即可求得相应的反馈系数F。
在深度负反馈情况下,因Xf ≈ Xi ,所以,反馈环内的基本放大电路可以看作理想放大电路,则反馈放大电路的输入、输出为:
电压串联负反馈:
电医并联负反馈:
电流串联负反馈:
电流并联负反馈:
例题 电路如图Z0312所示。试估算电压放大倍数。
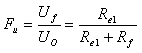
解:已知该电路属于电压串联负反馈组态,故,Af = Auf ,F = Fu
(1)利用关系式
该电路的反馈网络等效电路如图Z0313所示,由图知:

故


(2)利用Uf ≈Ui

例题 电路如图Z0314所示,估算电压放大倍数。
解:由图可判断该电路为电流串联负反馈组态,故 Af = Agf ,F = FR
(1) 利用关系式
该电路的反馈网络等效电路如图Z0315所示,由图可知
Uf = IoRe (Io = Ie)
故
由定义知 (2)利用关系 Uf ≈Ui
Uf = Io, Re ≈Ui

而
故

可见,利用这种关系求解Auf,不必进行转换。
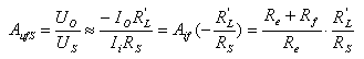
例题 电路如图Z0316所示。试估算ArfS。
解:这是一个电压并联负反馈电路。故
Af = Arf ,F = Fg
(1)利用关系式
该电路的反馈网络等效电路如图Z0316所示。
由图可知:
故 
而

(2)利用关系式Ii ≈ If
由电路可知:
而
故
从而可得:
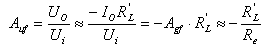
例题 电路如图Z0317 所示。试估算AufS 。
解:该电路为电流并联负反馈组态。它的反馈网络等效电路如图Z0318 所示。
由图可知:
故
而