输入是从放大输入端看进去的等效。因为反馈放大电路输入端的反馈方式有串联和并联之分,故负反馈对放大电路输入电阻的影响与串联反馈还是并联反馈直接有关。
1.串联负反馈使输入电阻增大
在串联负反馈电路中,由于Uf和UI串联作用于输入端,Uf抵抵了UI的一部分,因此,在Ui 相同的情况下,输入Ii比没有反馈时减小,故输入电阻RIf = Ui/Ii 增大了,这可用图Z0309 来说明。
因Uf取自Xo,令Xo= 0 时,则Uf消失,于是开环输入电阻RI(即基本放大电路的输入电阻)为

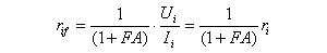
而闭环输入电阻rif 为

因

上式表明,串联负反馈使闭环输入电阻增加到开环输入电阻的(1+FA)倍。对于串联负反馈
对电流串联负反馈,。要注意的是,这里的RI必须是反馈环内的量,例如,串联反馈中,基极偏置电阻Rb对信号源的效应不因(1+FA)大小而变,故不属环内量。因此,要考虑Rb的活,放大电路实际输入电阻为
2.并联负反馈使输入电阻减小
在并联负反馈电路中,由于I f对I i有分流作用,因此,在Ib一定时,I f的出现将使II增大,从而使闭环输入电阻减小。开环输入电阻为:

而闭环输入电阻为:

因
可见,引入并联负反馈后,使闭环输入电阻rIf降到开环输入电阻ri的 1 /(1+FA)。要注意的是,对电压并联负反馈 :
而对电流并联负反馈
因Rb的存在将对I i分流,且分流大小与(1+FA)有关,故Rb为环内量,即应计算在 ri之内,放大电路的实际闭环输入电阻就等于rif。
二、输出电阻
放大电路对负载而言,可等效为一个信号源。这个信号源的内阻就是放大电路的输出电阻。由于输出有电压反馈与电流反馈两种方式,故输出电阻的变化趋势就与电压反馈还是电流反馈直接有关。

1.电压负反馈使放大电路的输出电阻减小
在负反馈电路中,由于电压负反馈能够稳定输出电压,即使RL发生变化,也能保持输出电压稳定,放大电路近似于恒压源,其效果相当于减小了电路的输出电阻。
计算电压负反馈放大电路输出电阻的方法仍与基本放大电路中使用的方法相同。即令信号源XI=0(电压源短路,电流源开路,可保留其内阻),然后移去RL,在输出端加一测试电压Vo(如图Z0309所示),算出相应的电流Io,则输出电阻为
Rof =Vo / Io
图中Ro包含了 RC。在输入回路中,虽然XI = 0,但由于反馈信号Xf的存在,使
整理可得:

上式表明,电压负反馈使放大电路的闭环输出电阻减小到开环输出电阻的
。对于电压串联负反馈有由于Ro 中包含了Rc 在内,故Rof就是放大电路的实际输出电阻。
2.电流负反馈使放大电路的输出电阻增大
当引入电流负反馈后,电路具有稳定输出电流的作用,即使RL发生变化,也能保持输出电流基本稳定,
放大电路近似于恒流源,其效果相当于增大了电路的输出电阻。图Z0310是计算电流负反馈放大电路输出电阻的方框图。其计算方法同电压负反馈。只是这里输出回路用的是电流源。
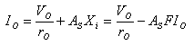
由图可以看出,XI虽然为0,但由于Vo的加入,使
所以
式中,As为基本放大电路在输出端短路时(RL=0)的电流放大倍数。放大器的输出电流为:

整理可得:

可见,引入电流负反馈后,电路的闭环输出电阻增加到开环输出电阻的(1+AsF)倍。对于电流串联负反馈有
需要指出的是,这里As是RL=0时的短路电流放大倍数。Ro中不包含RC在内,这是由于RC 的存在使得流进反馈网络的电流不等于流过负载RL的电流Io,属不严格电流反馈。故放大电路的实际输出电阻为
一般RC值不大,所以即使Rof增大很多,放大电路的实际输出电阻 增加并不显著。
综上所述,负反馈对放大电路输入和输出电阻的影响,可归纳以下两点:
(1)放大电路引入负反馈后,输入电阻的改变取决于输入端的联接方式,而与输出端的取样对象(电压或电流)无直接关系(取样对象将决定AF的含义),串联负反馈使输入电阻增加,并联负反馈使输入电阻减小,增加和减小的程度取决于反馈深度。
(2)放大电路引入负反馈以后,输出电阻的改变取决于输出端的取样对象,而与输入端的联接方式无直接关系,电压负反馈使输出电阻减小,电流负反馈使输出电阻增加,增加和减小的程度决定于反馈深度。