当前位置: 论文资料 >> 管理学论文 >> 市场营销 >> 品牌授权与轿车产业销售市场的结构变革
品牌授权与轿车产业销售市场的结构变革

内容摘要:今年4月1日,商务部、发改委、国家工商总局联合发布了《汽车品牌销售管理实施办法》(以下简称《办法》)开始试行,并将在半年后正式实行。《办法》规定,今后汽车销售都要经过生产商的品牌授权。《办法》作为一种政府对于产业链上下游市场的行为规制,究竟是否能够得到政府预期的规制结果,实现规范市场,促进有效竞争,正是本文的研究重点。本文首先建立了一个“授权争夺”模型,模拟并证明了品牌授权将一部分经销商逐出市场的过程。借助于现代产业组织纵向限制理论中的独占交易模型,笔者又证明了留存在市场上的经销商将倾向于多品牌代理,《办法》的实施有助于推动汽车销售市场结构的变革。同时,合理和多侧面的预测政府规制行为是非常必要的。
关键词:品牌授权 纵向规制理论 独占交易模型 政府规制

问题的提出

今年4月1日起,商务部、发改委、国家工商总局联合发布了《汽车品牌销售管理实施办法》(以下简称《办法》),并将从10月1日起正式施行。《办法》规定,今后汽车销售都要经过生产商的品牌授权。汽车品牌销售的核心内容是授权销售。经营者只要得到汽车供应商的品牌销售授权,并符合《办法》有关规定,取得工商部门的营业执照,即可经营该品牌汽车。《办法》并没有限定经营业态,即不限定经销商成为品牌专营店或是多品牌代理商。其次,品牌销售不仅是4S店的模式,在满足售后服务要求的前提下,采取什么样的销售模式由企业自己决定。
对于汽车生产商和经销商这种通过契约形成的上下游产业链关系,《办法》作为一种政府对市场的规制行为,往往很容易影响博弈双方的力量对比,对任意一方的鼓励或限制,都可能造成另外一方垄断力量的增强。因此,政府对产业链上下游作出规制之后,伴随着政府期望的市场结果而出现的很可能有很多政府不想看到的“副产品”。经历了这段过程,销售商的数量是否会大幅度的减少?汽车制造商是否仍然在产业链中占据优势?而消费者究竟是从中获利,还是受制于产业链条的垄断?对于以上这些规制行为所带来的市场结果的预测,以及对消费者福利由此产生的变化等一系列研究,都是有着很强的实际意义的。本文拟借助产业组织理论相关原理对《办法》的实施做一模拟分析,并给出对市场情况的个人预测,以及对《办法》的实施作出评价和进一步的建议。

对于《办法》实施作用的评价概述

对于《办法》的实施,业界表现出两种明显相反的态度。一种是赞成派,认为《办法》有利于规范市场,汽车厂家或者汽车总经销商可以对下游商家进行很好的控制,改变目前汽车销售商散乱、游离的状态,有利于规范市场,统一汽车的品牌形象。另一种是反对派,认为易形成市场垄断,因为《办法》限制了汽车商的发展空间,让经销商完全听命于汽车厂家或总经销商,让厂商关系不平等;此外品牌销售管理让目前很多车商需要向有代理权的车商申请授权,容易形成有品牌授权车商的垄断,不利于市场竞争。
汽车品牌特许经营是指汽车生产企业通过签订合同,授权汽车经销商在一定的区域从事特定品牌汽车的销售活动。其目的是达到汽车生产企业营销体系的统一运营,实现规模效应和品牌效应。
汽车品牌特许经营方式兴起于20世纪初,曾是西方国家汽车销售的主流模式。在此之前大多数汽车厂家还是在工厂里将产品装配完以后直接卖给顾客。目前,我国汽车经销市场呈现以下三个特点。第一,经销商数目巨大,我国有汽车经销商两万多家,数量远远超过汽车制造企业。第二,存在相当一批经营规模较大的经销商,年销售额在十亿以上,他们的共同特点是多品牌、跨区域、集团化、独立自主发展。第三,中国的汽车特许经营还是汽车营销的主流模式。国内主要的汽车生产企业如一汽大众、上海大众等公司均采用这种营销方式。但同时出现了一大批以3S、4S品牌店群为核心的经销商集团,经销商多品牌销售,多品牌代理,多网点销售已经形成一种新的发展趋势。
现代产业组织理论对纵向一体化(Vertical Integration)的研究较为深入,而有关纵向限制的研究相对薄弱,同时充满着争议。从理论上讲,纵向限制是纵向一体化的替代形式,所不同的是,前者是一种契约形式的一体化,而后者是一种永久所有权的一体化,纵向限制也可以称为是“半纵向一体化”。在现实经济当中,纵向限制往往与零售业有关,它是指生产厂家与零售商通过契约形式来互相限制各自的行为。纵向限制的行为主要有四类,即零售价格维持(Reasle Price Maintenance)、独占区域(Exclusive Territories)、独占交易(Exclusive Dealing)、搭配销售(Tying)。现在汽车销售市场上的4S店,其实就是一种独占交易形式,也就是,汽车制造商通过契约的形式来禁止销售商销售其他竞争性制造商的同类商品。
政府出台的《办法》,使得博弈双方—厂商和销售商分别面临新的决策:一方面,对厂商而言,在具备了颁发授权的权利之后,要做出的决策便是将授权颁给哪些经销商。换而言之,在近似于完全竞争结构的汽车经销商市场上,具备何种资质的经销商才能获得授权。众多的销售商来争夺有限数目的授权,因此会将一部分销售商逐出市场。
另一方面,有能力拿到授权的经销商也要作出代理决策:是只代理单一品牌,成为4S店,还是争取多个授权代理多种品牌。如果留在市场上的大部分销售商都选择了多品牌代理,将会形成类似于欧洲市场推行的“汽车超市”的形式,则授权无疑是起到了规范竞争和售后服务的作用,而且会使得销售商获得了一定的话语权。但是,如果大部分销售商选择了做4S店,那么无疑厂商会对代理同一品牌的销售商起到领导作用,甚至会强化生产商的垄断地位。另外一种不太可能出现但是也会存在的可能结果是,厂商按照现在的销售市场状况进行授权,即全部销售商变动不大,仅仅是多获得了一个授权而以,那么这种情况下,政府的规制无异于形同虚设。
博弈双方所面临的决策,也就是本文所要回答的两个问题:厂商颁发授权会否将一部分经销商逐出市场?如留存在市场上的经销商会选择独家代理还是共同代理?下文将给出模型和答案。

独占交易模型及预测

为了回答以上两个问题,笔者首先建立了上游垄断、下游竞争的“授权争夺”模型,分析了一部分经销商在授权过程中是如何被逐出市场的,继而引用了B.Douglas Bernheim 和Michael D.Whinston的独占交易模型,分析了在获得授权之后,存活在市场上的经销商的发展前景,并给出了对《办法》的评价。

“授权争夺”模型
第一个问题,从直观上看,并不难回答。由于我国汽车销售行业之前不够规范,从高标准化的4S店到各种三级、四级经销商参差不齐。很多小规模经销商在某品牌畅销的时候哄抬车价,并根本不提供售后服务,造成很多负面影响。这种经销商多是不具备获得授权的资格和能力的,从制造商的角度而言,授权发放过多,就可能会造成同品牌产品在不同经销商之间的恶性竞争,授权发放过少,则可能会造成产品的营销能力不足。因此厂商的品牌授权数目肯定是有限的,归根到底还是取决于市场需求。通过授权,制造商必将规范自己的品牌销售,选择真正具备实力的经销商,建立合理的经销网络。笔者对此建立了“授权争夺”模型,来模拟这一过程。
假设上游只有一家汽车制造商A,生产一种品牌的汽车。下游汽车销售市场有两家经销商(经销商1,经销商2)。在《办法》实施后,两家经销商针对此品牌的授权展开竞争,假设他们都希望获得独家授权,最终没有取得授权的经销商则被逐出市场。而且我们假设,只有经销商掌握市场需求信息,市场总需求函数为,厂商不能获知市场信息。经销商i(i=1,2)的单位销售成本为Si,且两家经销商之间不能获知对方的成本信息。博弈过程如下:


[阶段1] 生产商首先向下游经销商提出购买授权的支付K,以及汽车批发价格P0。
[阶段2] 两家经销商在观察到授权价格和批发价后,根据自己掌握的市场需求信息以及自身成本,假定自己将会独家代理,做出最大化决策,确定预期销售量,并向生产商投标,表明如果自己获得独家授权,将承诺销售Qi。但是经销商彼此之间不能观测或预见对手的标的。
[阶段3] 厂商根据两家经销商的投标,选择经销商颁发授权。
我们以经销商1为例,看一家经销商的承诺销售量决策过程。根据需求函数和经销商1的单位销售成本,经销商1的利润函数为:

我们不难得出:
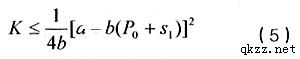
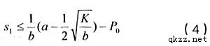
首先如果经销商1能够盈利,则其单位销售成本一定要满足如下条件:

把这一条件变形一下,可以得到如下表达式:

条件(4)和(5)说明,只有厂商所制定的授权价格小于一定的值的时候,经销商才有竞标的可能,实质上授权价格K相当于经销商的一个固定成本。换而言之,这也就证明了《办法》的实施实际上是给予了汽车制造商一定的权利,可以通过调整授权价格K将一部分甚至是绝大部分的经销商逐出市场。

[1] [2] 下一页