• 音乐资料:曲谱网 >> 美声曲谱 >> 六字歌名 >>
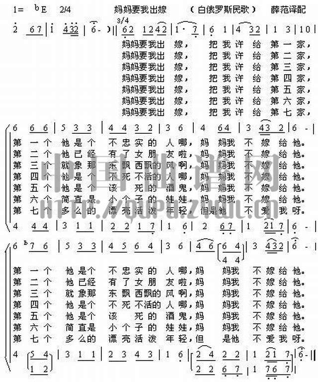
  • 妈妈要我出嫁(白俄罗斯民歌)


  • 地址:/jp/09qupu/meisheng/1182.html

  • 最新美声曲谱
  • 以华人的名义(美声)
  • 妈妈要我出嫁(白俄罗斯...
  • 你是一缕星光
  • [美声男高音歌曲] 以华...
  • 热点美声曲谱
  • 以华人的名义(美声)
  • 推荐美声曲谱
  • 相关美声曲谱