1.最小作用量原理与初期的几何光学
本世纪后半叶发展起来的几何光学当代理论,经历了经典光线力学与量子光线力学两大阶段。经典光线力学是从初期的旧几何光学与牛顿力学相似性研究中脱颖出来的。论及旧几何光学与牛顿力学这两个看起来彼此独立学科的相关性,不得不从最小作用量原理的研究说起。
最小作用量原理从提出到发展渊源流长。它不仅在物理学的诸领域,甚至在整个自然科学乃至更大的学科范围内,都具有深刻的作用与宝贵的价值。仅就最小作用量原理在物理学中的地位而论,没有哪一个定律或定理能在如此漫长的历史长河中,如此贯彻始终地伴随着物理学全部进程而发展,也没有哪一个规律能有如此的魅力,始终吸引着众多的哲学家和科学家们;也没有哪一个规律能像它一样,把经典物理与近代物理,甚至把物理学与数学如此紧密地结合起来。最小作用量原理不仅反映了自然界的真与美,也反应了人们对自然规律的普遍性与简单性的追求。
最小作用量原理的原始思想是从对光现象的观察中起始的。早在公元前3世纪,希腊数学家欧几里德(Euclid,约325B.C~270B.C)在他的《反射光学》一书中阐明了光的反射定律,他把光视为直线传播,使光线服从几何学规律。公元40年,希腊工程师希罗(Hero50~)在对光的直线传播与反射定律的解释中,强调了自然现象的“经济本性”,并提出了光的最短路程原理。他认为光在空间两点间传播沿长度最短的路径,这是最小作用量原理的最早期表述。公元6世纪,希腊新柏拉图主义哲学家奥林匹奥德鲁斯(Olympiodorus)在他所著的《反射光学》一书中,重申了自然界的“经济本性”,他认为“自然界不做任何多余的事,或者不做任何不必要的工作”。到了中世纪,最小作用量原理思想为更多的人所接受。意大利画家、建筑家与科学家达·芬奇(LeonardodaVinci1452~1519)也认为自然界是经济的,自然界的经济性是定量的。英国神学家、牛津大学的校长、培根的老师格罗斯泰斯特(GrossetesteRobert1175~1253)则认为,自然界总是以数学上最小和最优的方式运动和变化。英国哲学家奥卡姆(OckhamWilliam1285~1349)更为明确地指出:“对实际存在的事物,决不能不必要地添枝加叶”,这条准则如今已被解释为,在两种皆符合客观实际的理论中,只有那个假设比较简单的理论才是更接近实际的。这条准则被称为“奥卡姆剃刀”,它在哲学科学中具有重大的意义,尤其对培根哲学有重要的影响。
使最小作用量原理发生质的飞跃的是法国数学家费马(Fermat,Pierrede1601~1665)。费马原修法律学,却后来在数学领域作出了重大的贡献。他与笛卡尔(Descartes,Rene1596~1650)分别独立地建立了解析几何学,然而笛卡尔的二维形式解析几何却先于费马的三维解析几何取得了优先权。费马最早提出微积分的概念,并发现了微积分的一些重要特性,牛顿从中得到启发而取得了发明微积分的权利。费马也曾与帕斯卡(Pas-cal,Blaise
1623~1662)合作,研究了大量偶然事件的规律,奠定了概率论的基础,并研究了整数的性质,第一个把希腊数学家丢番图(Diophantus
210~290)所得到的结果向前推进,成为数论研究的奠基者。在对光的折射研究中,费马发现最短路程原理并不成立。然而他相信自然界的行为总是采取某种最简捷的方式。1657年,费马用“最短时间原理”,即后人所称的费马原理,修改了最短路程原理。这一原理表明:光在媒质中从一点向另一点传播时,总是沿花费时间最少的路径。即
为最小值。费马原理又可以表示为δ
,费马原理已成为几何光学领域中的高度概括性原理,它使以前似乎彼此独立无关的光的直线传播定律、反射定律、折射定律以及光路可逆性原理有了一个统一而又简捷、优美的表述。
最小作用量原理在光学领域中的成功,暗示人们似乎有更为普遍的原理存在的可能性。1682年以后,德国哲学家与数学家莱布尼兹(Leibniz,Gottfried
Wilhelm
1646~1716)开始试图建立一个能支配所有力学过程和光学过程的“作用量”概念。他相信,自然界所发生的一切过程都应与这个作用量的极值有关。虽然莱布尼兹没有成功,他的这一想法对法国数学家莫培丢(Maupertuis,Pierre
Louis Moreaude
1698~1759)产生了重要的影响。莫培丢信奉自然界的经济本性,他认为问题在于挖掘出自然过程中所花费的最小量该是什么。他认为这个最小量既不完全是运动物体的路径,又不完全是所消耗的时间,既应满足光学中的费马原理,又应满足牛顿力学。1744年4月,在莫培丢提交法国科学院题为《论各种自然定律的一致性》论文中,他先提出了一个满足光传播的最小作用量原理,即光在空间两点间传播时,总选择作用量极小的路径,这个作用量是
,其中v是光速,ds为路径元。由此原理出发,他导出了光的反射与折射定律。1746年,莫培丢又在题为《从形而上学原理推导运动和静止定律》的论文中,把最小作用量原理用于物体的运动。他把物体的质量、速度与路径长度之积,即mvl确定为作用量,建立了相关物体运动的最小作用原理,并由此导出弹性体与非弹性体的碰撞定律和杠杆原理。
与莫培丢同一时期,瑞士数学家欧拉(Euler,Leonhard
1707~1783)也独立地得到了最小作用量原理,并首次用变分的方式δ
加以表述。欧拉出身于世代宗教家庭,其父为牧师,欧拉年青时也曾任教职,虽然他是古往今来多产的数学家,几乎在数学的每一个分支上都有着贡献,他笃信上帝,他以最小作用量原理证明上帝的存在,认为上帝以此原理创造了宇宙并主宰它的运转。
莫培丢与欧拉的最小作用量原理强调了自然界规律的统一性与合谐性,它打破了统治当时物理界的形而上学思想体系,代之以可变的和最小化的思想。然而,这一原理的神学色彩,以及概念上的一些模糊不清,也曾使许多人感到疑惑。此外,更为重要的是,似乎它与普遍存在的守恒原理有相矛盾之处。直到本世纪,守恒原理与最小作用量原理的统一性才被德国女数学家诺特(Noether
Emmy
1882~1935)从理论上证实,这就是对于作用量的每一种对称性(变换不变性)都有一个守恒定律与之对应。此外,在莫培丢的光学最小作用量原理中,积分项与速度成正比,而在费马原理中,积分项却与速度成反比,这似乎存在有矛盾,这一关系在德布罗意物质波理论①建立之后,才得到了深入的解释。
使最小作用量原理开始得以真正发展的,应当归功于法国数学家达兰贝尔(D'Alelnbert,Jean
LeRond1717~1783)与其后的法国数学家兼天文学家拉格朗日(Lagrange,JosephLouisComtede1736~1813)。他们在力学中应用变分法,把最小作用量原理发展为动力学的普遍原理——达兰贝尔-拉格朗日原理,并把它推广到多粒子系统。在多粒子系统中,这一原理被表述为:当完整保守系统从一个位形转变到另一个位形时,对于一切具有相同总能的可能运动来说,只有真实的运动所对应的作用量最小,
其中s为系统的作用量,n为系统的粒子数,t为运动经历的时间,T为系统的总动能。对粒子数n=1的单粒子而言,上一原理即退化为莫培丢最小作用量原理。
继达兰贝尔与拉格朗日之后,爱尔兰数学家、物理学家哈密顿(Hamilton,Sir
William
Rowan1805~1865)把最小作用量原理又发展到了它的颠峰。哈密顿是律师之子,在少年及青年时代,没进过正规学校,靠自学不仅起码精通14国语言,而且自修了数学。他12岁即对牛顿的《自然科学与哲学原理》产生了浓厚的兴趣,17岁时,向爱尔兰皇家天文学会指出了拉普拉斯《天体力学》中的数学错误。22岁时,即被正式任命为都柏林的三一学院天文学教授,这一工作使他有较多的时间从事数学与物理学研究。1835年,哈密顿被封为爵士,两年后,被选为爱尔兰皇家科学院院长。1835年,哈密顿发表了具有深远影响的论文《变分作用原理》与《波动力学的一般方法》。在这两篇论文中,哈密顿首先从费马原理出发,发展了几何光学的定律,进而证明,光线轨迹可以利用对单一数学量——特征函数的计算得出来。他发现,这一特征函数与对应单粒子动力学作用量函数的特征非常相似,而几何光学中光线轨迹又与牛顿力学单粒子的轨迹十分相似,这使哈密顿受到启发,他猜想,一定可以找到一种与几何光学类似的形式表述力学规律,只要从力学的最小作用量原理出发,把它变换为与费马原理相似的形式,就一定可以找到力学与光学的统一表示。哈密顿用具有动力学意义的正则变量(广义动量p和广义坐标q)代替只有运动学意义的广义速度q和广义坐标q,把拉格朗日函数和拉格朗日方程变换到哈密顿函数和哈密顿正则方程,对比费马原理提出了等时最小作用量原理,即哈密顿原理,由它可以导出全部力学的基本定理和运动方程,不仅适用于完整保守系,而且还可以推广到非保守系和非完整系。
经典力学哈密顿理论的建立,具有双重深远的意义,其一是它成为经典力学向量子力学过渡的桥梁。在正则方程的基础上发展起来的哈密顿-雅柯比方程已成为量子力学建立以前研究量子力学的主要方法;其二是这一原理中的对偶性思想,对偶性即力学与几何光学运动方程中的相似性。早在1834年,哈密顿就以他犀利的洞察力,指出在这两大领域中存在有相似的数学结构。这种相似性表现为:确定光线轨迹特征函数的特性与对应单粒子动力学作用量函数的特性有惊人的相似,在几何光学中的光线轨迹与牛顿力学中单粒子的轨迹间也有相似性,在力学规律与几何光学规律的统一表示上更有着相似性。这些相似性表明,一个粒子的行为可以由波动性描述;而光的波动性又可以与粒子的行为相关,这就是哈密顿原理中所蕴含的对偶性思想。根据这一思想,本来不难进一步找到具有波动性质的力学方程。然而在哈密顿所处的时代,经典力学被认为是绝对正确的,粒子具有波动性被认为是不可思议的事,直到量子力学兴起以前,哈密顿方程中对偶性的深刻意义在长达近一个世纪的时间里,一直被人们所忽略。薛定谔曾在诺贝尔奖演讲中说:“哈密顿原理和费马原理之间的密切相似性几乎被忘记了。如果还记得的话,也只是记住了数学理论的奇妙性。”①直到20世纪,在德布罗意和薛定谔创建立量子力学之后,两原理间的相似性及深刻的物理内涵才被充分地阐明了出来。
2.经典光线光学的建立
19世纪末到20世纪初,牛顿力学与麦克斯韦的电磁理论都发展到日臻完善,以麦克斯韦电磁理论为基础的波动力学逐渐趋于成熟,经典物理学已形成一套完整的理论体系,当时的绝大部分物理学家深信,物理学中的各种基本问题在原则上已都得到圆满的解决,此时,确实如薛定谔在诺贝尔奖演讲中所说,发展得最早的费马原理、莫培丢最小作用原理以及其后的哈密顿原理与费马原理之间的相似性,在相当长的时间里被人们所遗忘。70年代以来,随着纤维光学的发展,处理介质中光的传输与发射问题时,光的波粒二象性,尤其是光的量子特性突出地表现出来,只计入光的波动性已使问题陷入了局限性。此外,在用波动方程解决具体问题时,由于情况的复杂,已经不可能找到适当的解析解,这也使人们陷入困境。因此,迫使人们在几何光学理论的发展中,另辟蹊径,从几何光学与经典力学的相似性出发,建立光的量子理论,并逐步建成经典光线力学的理论体系。经典光线力学又称为哈密顿光学,它是由D.马库斯(D.Marcuse)等人从几何光学与经典力学的相似性出发,根据费马原理建立起来的②③。他们在直角坐标系中,假定光沿z轴方向传播,首先引入了描述光传输的线元ds。为建立光线力学的哈密顿方程,在光线拉格朗日函数L的基础上,引入光线的广义动量
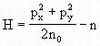
于是,由广义动量与广义坐标定义哈密顿函数H(x,y,px,py)。然后,由光线的哈密顿正则方程,找到哈密顿函数的表述形式
,其中n为传输介质的折射率。这个函数恰与静止质量为m0的单粒子的相对能量式
相似。若采用光线传播的近轴条件,即x′<1,y′<1,把变化的折射率n表述为常量n0与小变量△n两部分,即n=n0+△n,再利用级数展开,所得到的哈密顿函数

又恰好与非相对论近似条件下的单粒子力学的哈密顿函数
有着惊人的相似。这些结果表明,质点力学的非相对论近似理论正对应着几何光学中的近轴理论,只是光线力学比质点力学低一维,单粒子的势能正好对应传光媒质的折射率。
接着,需要把直角坐标变换到广义坐标。虽然变换式显含时间T,但是所对应的动能表示式并不显含时间。因此,欲建立光线力学的程函方程,只需写出光线力学的哈密顿-雅柯比方程即可。这一工作并不困难,因为考虑到与质点力学的相似性,只需在质点力学哈密顿-雅柯比方程的基础上做类似的替换。在替换中,空间变量z对应于时间变量t,并降低一维,最后得到了光线的程函方程为(s)2=n2,它不仅与质点力学单粒子运动的规律相似,由它还能得到几何光学的全部规律。
3.量子光线力学
80年代以来,随着纤维光学的进展,在对光的传输与发射研究中,光的量子特性迫使人们不得不对光线力学以及波动光学加以改造,改造的目标就是建立一门新型的量子光线力学。理论的进展仍然是从哈密顿原理所隐含的对偶性出发的。对偶性启示人们,不仅应对光线力学中的“光线”概念加以改造,使其具有波粒二象性,还应赋予波动力学中的“纯波动”以粒子性特征。
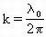
在新理论建立的伊始,很自然地会涉及到普朗克常量,因为它表征着自然过程的量子属性。一个物理过程的普朗克常量是否可以被忽略,已成为该过程是否适用经典理论还是适用量子理论的重要也是唯一的标志,只有当普朗克常量
→0时,量子力学才过渡为经典力学。因此,首先应建立一个常数k,以k代表量子光线力学中的普朗克常量。当k→0时,量子光线力学也应过渡到由波动方程所推导出来的程函方程。根据这一相似类比,量子光线力学中的普朗克常量k显然应该与光在真空中的波长λ0有关,由此定义
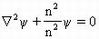
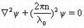
,当k→0时,λ0→0,由约化波动方程,即波动方程在λ0→0时的极限,导出的程函方程精确成立。这表明,在这一基础上建立的光线力学的量子理论可以由光线力学反推出波动方程。然而在过去,虽然费马原理可以导出光线力学的所有方程,却不能导出光的波动方程。建立了量子光线力学的“普朗克常量”k以后,应继续使相关的物理量算符化。像质点量子力学一样,量子光线力学的问题应归结为对算符本征方程求解。被算符化的物理量有广义坐标、广义动量、哈密顿量等。首先,将相对论哈密顿量算符作用在波函数ψ上,可以得到量子光线力学的克莱因-戈登方程,即
,这个方程恰与λ0→0时的约化波动方程
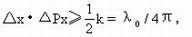
具有相同的形式,而量子光线力学中的普朗克常量k又恰好可以在两个方程的比较中得出来。此时,量子力学的算符对易关系、厄米性以及期望值等都可以扩展到光线力学的量子理论之中,例如量子光线力学的本征值为光线力学物理量的可测量值,而本征函数模量的平方又是该本征值的取值几率。这样一来,量子光线力学产生了质的飞跃,它的取值将不再具有确定性,它只能取一系列可能值,每一个值都只能以一定的几率出现。此外,根据量子光线力学算符的对易关系,又能得出量子光线力学的测不准关系,
这一关系又恰与德国物理学家海森伯的量子力学测不准关系Δx·ΔPx≥h/2相对应。量子光线力学的测不准关系表明,若光线的状态为动量算符的本征态,即平面波时,对光线斜率的每一个测量结果,必将给出一个确定的动量p值,但当p值确定之后,却不能断定光线的位置。其实,这一不确定关系早已明显地表现出来,因为当平面波无限扩展到全空间时,光线的位置就变得不确定了;反之,当光线的位置受到约束而确定时,如通过狭缝或小孔,出射光线的动量或斜率将变得不确定;光线越是受到较强的约束而确定时,如狭缝成小孔的线度减小,出射光线的动量或斜率就变得越不确定,这就是波动光学中人们所熟知的衍射现象。像量子力学中测不准关系一样,在量子光线力学中,当两个相关物理量的算符相互不能对易时,都会出现类似的测不准关系,这些测不准关系也将与光的传播特征与光粒子行为的对偶性息息相关。
量子光线力学建立之后,已经直接应用到对光学仪器分辨率的讨论之中。根据经典的光线力学,每一条光线的位置都可以精确地给出,从理论上说,光学仪器可以具有无限好的分辨本领。然而根据量子光线力学的测不准关系,光线的位置与“动量”不能同时以任意精度确定。当光线位置的垂轴精度被精确地确定之后,光线的“动量”就会扩展;反之当光线的“动量”精度被精确地确定之后,光线位置的垂轴精度就不能任意,它们的关系是

根据量子光线力学正则方程及哈密顿函数,可以进一步得出光线“动量”不确定值所对应的光线倾斜角度范围值α,再根据前式找出光学系统的分辨极限,

这一结果与波动光学中两相邻物点分辨率极限的瑞利判据式
其中系数不同,只是判据上的差异所引起。上述讨论再次表明,光线光学的量子理论可以囊括波动光学的规律,它可以不经过对光的波动性的讨论,直接得到相应的波动规律,这是经典光线光学所不能做到的。量子光线学规律的普遍性与简洁性也是经典光线力学所不能比拟的。这一学科的建立不仅促进了纤维光学与集成光学的相关理论研究,而且对进一步揭示物理学中的新概念更具有深刻的意义。