在单模光纤中,传输着两个相互正交的线性偏振模式,若光纤横截面理想圆对称和理想使用情况下,这两个模式是相互简并的;但在实际情况下,由于生产中造成的光纤的圆不对称、内应力等,成缆过程中形成的边应力、光纤扭曲等以及使用过程中的压力、弯曲、环境温度变化等因素造成单模光纤中这两个模式之间有轻微的传输群速度差,从而形成(线性)偏振模色散(PMD)。PMD早在光纤问世时就已存在,包括前面提到的各类光纤中,只是由于当时通信速率较低,偏振模色散还不足以影响系统传输,所以这个问题没有引起重视。而近年来,随着光纤通讯和色散补偿方案的迅速发展,一些高速传输系统的传输速率已达到了几十Gbit/s系统其传输距离也因PMD存在而不能太远,因此PMD将成为限制高速光纤通信系统容量和距离的最终因素。目前PMD已成为国际上光通信研究的热点,国际电信联盟(ITU)目前也制定了PMD的有关标准。因此,为了了解带有光放大器的光纤链路中的偏振模色散(PMD)的影响,为PMD补偿提供第一手设计依据,必须研究带有光放大器的光纤链路中的PMD测试方法。带有放大器的光纤链路的特点是,由于掺铒光纤放大器(EDFA)的“滤波作用”,被测试光纤线路光谱宽度窄于一般LED光源的光谱宽度;EDFA对测试光源的增益提高了测量仪表的动态范围,可以测试的光纤长度很长,实际干线传输线路正是这种情况。因此要求测量仪器能够测量这类窄谱宽,带有中继光纤放大器,强、弱模式耦合共存的长距离光纤链路的PMD。
根据带有放大器的光纤链路的以上特点,我们认为国际电信ITU-T的G650建议中的固定分析方法(FA)、琼斯矩阵法(JME)、偏振态法(SOP)和邦加球法(PS)比较适合带有放大器的光纤链路的PMD测试,因为这些测试方法都采用或可以采用谱线宽度窄的可调谐激光器做光源。显然,测试带有光纤放大器、光纤光栅等窄带器件,测试光源的谱线宽度越窄,测量分辨率越高,可观测到更精细的PMD随波长的变化。
本文在介绍FA、JME、SOP、PS测试方法的基础上,给出了测试带有放大器光纤链路PMD的测试结构框图,并进行了讨论。
一、 邦加球法(PS方法)
PS方法是基于PMD的以下特点:DUT输入固定的偏振状态(SOP),则其输出SOP(用S表示)在球面上形成一曲线轨迹,该轨迹是光频率的函数,其单位角速度就是DGD,PS方法的原理图如图1所示。

图 1 PS方法的原理图
其中P:偏振片。S满足的方程为:

式(1)中是斯托克斯矢量,是偏振模色散矢量,是输出偏振主态(PSP), dt为DGD。PMD的效果可以看成是 沿 以速率 dq/dw = dt运动。当 是常数时, 描述的轨迹是一个圆。
由于的幅度和方向随机变化,一般来说该轨迹可以是任意形状。尽管如此,圆的一段弧在局部上是分别对应于一小段光频率。对于当和的方向一致时的一阶( )情况,输出SOP与频率无关,这实际上正是输出PSP的定义。
图1给出了PS测量的原理图。三个Stokes 参数 ( 的分量),表示邦加球面上的输出偏振状态,利用可调激光器和偏振器通过其随光频率变化的函数来测量。由该函数轨迹导出的单位角速度就是偏振模色散矢量,其模数就是DGD。
二、固定分析法(FA方法)
在固定分析仪法(也叫波长扫描方法)中,可调激光器与光功率计组成测试设备。从可调激光器发出的光在未进入光功率计之前,先通过带有光纤放大器的被测光纤链路,再通过一个起偏器,如图2所示。因此,S发射到线性偏振轴(如S1)的光(偏振光)是光频率的函数。从原理上来说,除了只能获得三个Stokes参数中的一个以外,FA与PS的测量方法相似。因此,可以通过测量各个频率上的平均值来获得S1从而得到PMD(或平均DGD),即可调谐光源所调谐的光频率范围内S1的极值数目。

图2固定分析仪法原理图,P1:为偏振器
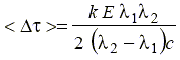
偏振模色散由下式确定:
(2)
其中:是三个斯托克斯参数的平均值,c是真空中的光速,k是模耦合系数——当不存在模耦合时k=1,当强模耦合时k=0.82,E为极值个数减1(包括两端λ1,λ2处的极值),测量波长范围λ1 < l <λ2 。
二、琼斯矩阵法(JME)
琼斯矩阵本征值技术测试系统如图3所示。

图3琼斯矩阵本征值技术测试系统
可调谐激光器出射光经偏振控制器成为园偏振光,经准直系统进入起偏器,起偏器分别产生0°、45°、90°偏振光,耦合进入被测光纤,实时偏振态分析仪测出3个斯托克斯参数,由斯托克斯参数计算每个波长的琼斯矩阵响应,对每一个频率(波长)间隔,计算较高光频琼斯矩阵T(w+Dw)和较低光频琼斯逆矩阵T-11(w)的乘积,则偏振微分群时延差 由下式求得:
(3)
r1和r2是T(w + wD) T-1(w) 的复数本征值, Arg为幅角函数,Arg(heiq) = q. w = 2up 是光波角频率,Dw是光波角频率间隔。
三、 偏振态法(SOP法)
测试装置与琼斯矩阵本征值方法相同,如图4所示。它采用可调激光器光源和偏振计,以相同的波长间隔实时跟踪测量偏振波动,得出斯托克斯参数以后,出射光的偏振态(SOP)

四、 几种方法的比较
在测量带有光纤放大器的光纤链路时,对比这几种PMD测量方法,琼斯矩阵法(JME)、邦加球法(PS) 、固定分析法(FA,也叫波长扫描)和偏振态法(SOP法)都是采用可调谐激光器作为光源,而JME法、PS法是通过确定光频率的偏振模色散矢量来描述PMD。该矢量的幅度是群时延的微分(DGD),其方向就是被测试光纤的主偏振状态方向。PMD定义为DGD在光频域内的平均值或均方根值。琼斯矩阵法、邦加球法要求测量出所有频率偏振的输出状态,测得三个Stokes参数都是光频率的函数,其中光频率是用可调激光器和偏振器获得,一般需要几分钟。而其中的琼斯矩阵法需要进行矩阵和逆矩阵的运算以及本征值的求解,运算量相对其它3种方法大,在这四种测试方法中测试速度稍慢,但测量精度最高,两种方法抗快速震动能力较差,当测试OPGW一类高速震动的光缆时无法使用。另外2种PMD的测量方法是固定分析法和偏振态法,它们需要测量与光频率有关的三个Stokes参数,其中光频率是用可调激光器和偏振器获得,由偏振光的极值数,确定PMD,测量速度较快,因此,抗外界干扰能力比Jones 本征矩阵分析法(JME)、Poincaré球面法 (PS)稍好,但相对于琼斯矩阵法精度稍差。上述四种PMD测量方法根据其应用各有优缺点,互为补充。
干涉法由于使用LED或白光源作为测试光源,这类宽带光源通过光纤放大器后光谱变窄,使得测试结果与真实情况相去甚远,无法使用。
最近,加拿大EXFO公司报道了一种邦加球法与干涉法组合的改进的偏振模色散测试技术,它不但测量分辨率高,抗震动能力强,并能测量带有光纤放大器的光纤链路的PMD。