有关输电导线悬点等高时导线弧垂与线长及应力的关系,悬链线方程及曲线弧长,曲线弧长(或弧长方程),平抛物线方程是悬链线方程的简化形式。
输电导线悬点等高时导线弧垂与线长及应力的关系
通常任何材料包括导线在内,都具有一定的刚性,但由于悬挂在杆塔上的一档导线相对较长,因此导线材料的刚性对其几何形状的影响很小,故在计算中假定:
(1)导线为理想的柔索。因此,导线只承受轴向张力(或拉力),任意一点的弯矩为零。这样导线力学计算可应用理论力学中的柔索理论进行计算。
(2)作用在导线上的荷载均指同一方向,且沿导线均匀分布。
一、悬链线方程及曲线弧长
1.悬链线方程
为了分析方便,我们先从悬挂点等高,即相邻杆塔导线悬挂点无高差的情况讨论导线的应力及几何关系。
实际上,导线悬在空中的曲线形态,从数学角度用什么方程来描述是进行导线力学分析的前题。由于假定视导线为柔索,则可按照理论力学中的悬链线关系来进行分析,即将导线架设在空中的几何形态视为悬链形态,而由此导出的方程式为悬链线方程。
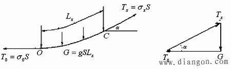
如图1所示,给出了悬挂于A、B两点间的一档导线,假定为悬挂点等高的孤立档,设以导线的最低点O点为原点建立直角坐标系。

图1导线悬链线及坐标系
同时假定导线固定在导线所在的平面,可随导线一起摆动,显然这是一个平面力系。根据这个坐标进行导线的受力分析,可建立导线的悬链线方程。
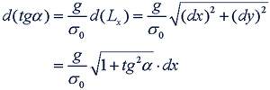
我们先从局部受力分析开始,再找出其一般规律。首先在导线上任取一点D(x,y),然后分析OD段导线的受力关系,由图1所示,此OD段导线受三个力而保持平衡,其中D点承受拉力为Tx=σxS,它与导线曲线相切,与x轴夹角为α; O点承受拉力为T0=σ0S,T0为导线O点的切线方向,恰与x轴平行,故又称水平张力;此外还有OD段导线自身的荷载为G=gSLx, 其中Lx为OD段导线的弧长。
将OD段导线的受力关系画为一个三角形表示,如图2所示,

图2导线受力情况
由静力学平衡条件可知,在平面坐标系中,其水平分力,垂直分力的代数和分别等于零。或沿x轴或y轴上分力代数和分别等于零。
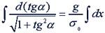
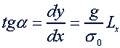
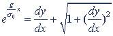
垂直方向分力G=Txsinα=gSLx;水平方向分为T0=Txcosα=σ0S。其中σ0、T0为导线最低点的应力和张力,σx、Tx为导线任一点的应力和张力,S、g为导线截面和比载。将上述二式相比,则可求得导线任意一点D的斜率为:
(1)
由微分学知识可知,曲线上任一点的导数即为切线的斜率。
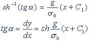
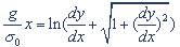
式(1)是悬链曲线的微分方程。我们要用坐标关系表示出导线受力的一般规律,还需要将不定量Lx消去,因此,将式对x微分得:

(微分学中弧长微分公式为dS2=(dx)2+(dy)2)将上式移项整理后,两端进行积分

这是个隐函数,因此,再进行分离变量积分,查积分公式有:
(2)
再进行分离变量积分,有

于是,导线任一点D的纵坐标为:
(3)
式(2)是悬链方程的普通形式,其中C1和C2为积分常数,其值可根据取坐标原点的位置及初始条件而定。如果将坐标原点于导线最低点处,则有下述初始条件:
x=0, dy/dx=tgα=0
代入式(2-11)则C1=0,将x=0,y=0,C1= 0 代入式(2),
,如此,求得坐标原点最低点O处的悬链方程为:
(4)
式中σ0—水平应力(即导线最低点应力),MPa;
g—导线的比载,N/m.mm2。
当坐标原点选在其它点(例如选在悬挂点处)时,悬链线方程的常数项将有所不同,可以得到不同的公式。若式(2-13)中x代表档距的时候,则y即为导线的弧垂,因此悬链线方程描述了导线弧垂与应力、比载及档距之间的基本关系,此式称为精确式。
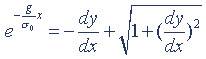
实际上导线的悬链线方程还可以从另一种方式进行推导,下面介绍如下:
由式,
对其求导得:

变换为
,为找原函数进行积分,
由积分式
两边积分,
则有:
变为指数形式为
这是个隐函数,为解出
,对应有式:
将两式相减则有:
因为双曲正弦函数为:
双曲余弦函数为:
又因为:
最后积分有:
定积分常数,因在坐标原点则
,其结果是一样的,即
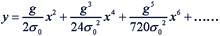
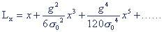
在线路设计中,为了计算上的方便,一般不使用精确式方程,而是将其展开为泰勒级数形式。将悬链线方程式(2-13)展开成无穷级数(在x=0点),可得:
(5)
2、曲线弧长(或弧长方程)
导线最低点O至任一点的曲线长度叫做弧长,用Lx表示。将式(2-11)代入式(2-10)中,且积分常数C1=0,得导线的弧长方程为
(6)
根据式(2-15)可以计算一个档距内导线的曲线长度(也叫一档线长)将弧长方程式(7)展开成无穷级数可得:
(7)
二 、平抛物线方程
平抛物线方程是悬链线方程的简化形式之一。它是假设作用在导线弧长上的荷载沿导线在x轴上的投影均匀分布而推出的,在这一假设下,图2-6中导线所受垂直荷载变成 
即用直线代替弧长,从而使积分简化,由此导出平面抛物方程为
(8)
相应导线的弧长方程式为:
(9)
实际上式(2-17)是式(2-14)取前一项的结果,式(2-18)是式(2-16)取前两项的结果,这恰说明它是悬链线方程的近似表达式。
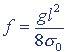
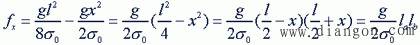
当悬挂点高差h/≤10%时,用平抛物线方程进行导线力学计算,可以符合工程精度要求。 三 、悬挂点等高时导线的应力、弧垂与 (一)导线的弧垂
将导线悬挂曲线上任意一点至两悬挂点连线在铅直方向上的距离称为该点的弧垂。一般所说的弧垂,均指档内最大弧垂(除了特别说明外)
1.最大弧垂计算
如图 2-7所示的悬点等高情况。将式(2-13)中的x以
代入,则得最大弧垂f的精确计算公式(悬链线式)如下
(2-19)
式中:f—导线的最大弧垂,m;
σ0—水平导线最低点应力,MPa ;
g—导线的比载,N/m.mm2;
—档距,m。
同理,在实际工程中当弧垂与档距之比
≤10%时,可将式(2-17)中的x以代入
,得最大弧垂的近似计算公式(平面抛物线计算式):
(2-20)
式(2-20)在线路设计中会经常用到。
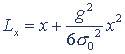
2.任意一点的弧垂计算
如图2-7所示,

图2-7:悬线等高时弧垂
任意一点的弧垂可表示为:

利用悬链线方程进行计算,可将式(2-13)和式(2-19)代入上式,经整理得:
(2-21)
式中
—导线任一点D(x,y)到悬挂点A、B的水平距离;
若利用平抛物线方程,可将式(2-17)和式(2-20)进行计算,得到任意一点弧垂的近似计算式:
(2-22)
(二)导线的应力
1.导线的受力特点
由于将导线视为柔索,则导线在任一点仅承受切向张力。因导线不同点处由于其自身重量不同,则切向张力也是不同的,即导线的张力随导线的长度而变化。
但在线路设计中我们主要关心两个特殊点的受力情况:一是导线最低点受力;二是导线悬挂点受力。
导线的受力特点,由图2-6的受力三角形分析,导线在任一点受到的张力大小均可以分解为垂直分量和水平分量两个分力,其特点是:
①导线最低点处只承受水平张力,而垂直张力为零;
②导线任一点水平张力就等于导线最低点的张力;
③导线任一点张力的垂直分量等于该点到导线最低点之间导线上荷载(G)。
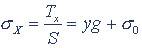
2.导线上任意一点的应力
如图2-6所示,导线悬挂点等高时,其导线的应力计算如下。
根据前述的导线受力条件,导线在任一点的张力Tx为:
(2-23)
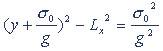
要消去不定量弧长Lx,用导线其它已知数据表示,则由式(2-13)和式(2-15),即悬链线方程和弧长方程可以导出:

方程两边同乘以(gS)2得:
(2-24)
将方程式(2-24)代入式(2-23)中,且对应项相等关系,可得:
(2-25)
则得导线上任意一点处的轴向应力为:
(2-26)
此为导线应力计算中的重要公式,它表明导线任一点的应力等于导线最低点的应力再加上该点纵坐标与比载的乘积,且是个代数和。
根据式(2-23)还可以得到导线轴向应力的另一种计算公式,即:
即由受力三角形关系除以S直接得到,它表示导线任一点应力等于其最低点的应力和此点到最低点间导线上单位面积荷载的矢量和。
其形式还可以表示为:
(2-27)
式中α—导线任一点切线方向与x轴的夹角。式(2-26)和式(2-27)是计算导线应力的常用公式。
3.导线悬挂点的应力
导线悬挂点的轴向应力σA根据式(2-26)和式(2-27)可得到

或
式中符号意义同前。
4.一档线长
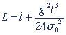
在不同气象条件下,作用在导线上的荷载不同,这还将引起导线的伸长或收缩,因此线长L也是一个变化量。尽管线路设计中很少直接用到这个量,但线路计算的诸多公式大都与它有关。
根据式(2-15),导线最低点至任一点的曲线弧长为:

悬挂点等高时,令x=
代入上式得到半档线长,则一档线长为:
(2-29)
式中 L—悬点等高时一档线长,m。
一档线长展开成级数表达式
(2-30)
在档距
不太大时,可取上式中前两项作为一档线长的平抛物线近似公式
(2-31)
又可写成
(2-32)