分享下理想变压器的电路模型,空心变压器在满足哪三个条件时,才称之理想变压器,可以通过本文的介绍一探究竟,理想变压器电路模型入门学习资料。
理想变压器电路模型
空心变压器若同时满足下列3个条件即变为理想变压器(什么是空心变压器?):


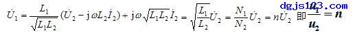
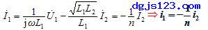
由方程(1)得:

综上可知理想变压器是一种特殊的无损耗全耦合变压器,其电路图形符号如下,且其原边和副边的电压和电流总满足下列关系:

注意:
上式是根据图中的参考方向和同名端列出的。式中n=N1/N2, 称为理想变压器的变比。
理想变压器的特性方程为代数关系,因此无记忆作用,理想变压器不是动态元件。
推荐阅读:
- 理想变压器主要性能有哪些?
- 理想变压器理想化条件是什么?