功率计算公式大全(电功率与机械功率)
功率包括电功率、机械功率。
电功率又包括直流电功率、交流电功率和射频功率;交流功率又包括正弦电路功率和非正弦电路功率;机械功率又包括线位移功率和角位移功率,角位移功率常见于电机输出功率;电功率还可分为瞬时功率、平均功率(有功功率)、无功功率、视在功率。
在电学中,不加特殊声明时,功率均值有功功率。
在非正弦电路中,无功功率又可分为位移无功功率,畸变无功功率,两者的方和根称为广义无功功率。
本文列出了上述所有功率计算公式,文中p(t)指瞬时功率。u(t)、i(t)指瞬时电压和瞬时电流。U、I指电压、电流有效值,P指平均功率。
1、普遍适用的功率计算公式
在电学中,下述瞬时功率计算公式普遍适用
p(t)=u(t)i(t) (1)
在力学中,下述瞬时功率计算公式普遍适用
p(t)=F(t)v(t) (2)
在电学和力学中,下述平均功率计算公式普遍适用
P=W/T (3)
W为时间T内做的功。
在电学中,上述平均功率P也称有功功率,P=W/T作为有功功率计算公式普遍适用。
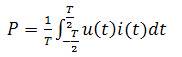
在电学中,公式(3)还可用下述积分方式表示
(4)
其中,T为周期交流电信号的周期、或直流电的任意一段时间、或非周期交流电的任意一段时间。电学中,公式(3)和(4)的物理意义完全相同。
电学中,下述视在功率计算公式普遍适用:
S=UI
2、直流电功率计算公式
P=UI
P=U2/R
P=I2R
3、正弦交流电功率计算公式
无功功率计算公式:
Q=UIsinφ
有功功率计算公式:
P=UIcosφ
正弦电流电路中的有功功率、无功功率、和视在功率三者之间是一个直角三角形的关系:
P2+Q2=S2
当负载为纯电阻时:
Q=0,S=P
直流电功率计算公式同样适用。
4、非正弦交流电功率计算公式
非正弦交流电功率计算公式采用普适公式(3)或(4)
对于周期非正弦交流电,将周期交变电压电流按照傅里叶级数展开,有功功率计算公式还可表示为:

在非正弦电路中,有功功率和视在功率的定义不变,然而,此时,电压、电流相位差已经没有明确的物理意义,此时,Q按照下述公式定义:

式中,Un、In为n次谐波的有效值,当n=1时,U1、I1称为基波有效值。
然而,此时,
S2≠P2+Q2
为此,引入畸变无功功率D,使下式成立:
S2=P2+Q2+D2
由于Q与基波及谐波电压、电流的相位角相关,称为位移无功功率。畸变无功功率计算公式如下:

畸变无功功率有时也称畸变功率,上式中,N为电压、电流最大谐波次数中的小者。某些文献中也将Q称为无功功率,而将Q和D的方和根称为广义无功功率。
5、射频功率计算公式
射频功率属于交流电功率,理论上具有与交流电功率相同的计算公式,但是,实际上在超高频和微波频段,有TEM波和非TEM波之分。在TEM波的同轴系统中,电压和电流虽有确切含意,但测量其绝对值很困难。在波导系统中,因为存在不同的电磁模式,电压和电流失去唯一性。在个频段和各传输系统中,功率是单值表征信号强度的重要方法。在射频范围直接测量功率代替了电压和电流的测量。
6、三相功率计算公式
三相功率计算公式(有功功率)可以采用三个单相独立测量再求和的方式进行计算。
P=PA+PB+PC
对于三相三线制电路,也可采用二瓦计法,三相功率计算公式为:
P=PAB+PCB或P=PCA+PBA或P=PBC+PAC
对于正弦三相对称电路,
P=√3UIcosφ;U、I为线电压、线电流有效值。
或
P=3UPIPcosφ;UP、IP为相电压、相电流有效值。
7、电机功率计算公式
电机功率计算公式,也称电机轴功率计算公式如下:
P=FV (5)
F:力,单位为N;V:速度,单位为m/s;P:功率,单位为W
T=FR
F=T/R (6)
T:扭矩,单位为N.m;R:作用半径,单位为m
V=2πRn/60=πR*n/30 (7)
V:线速度,单位为m/s;n:转速,单位为r/min
将(6)、(7)代入(5)
P=πTn/30
若将P的单位变为kW,得到下述电机功率计算公式:
P=πTn/30000=Tn/9549
或
T=9549P/n