直流电路的计算公式
|
欧
姆 定 律 |
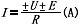
1、无源支路: |
![]() |
|||||||||
|
欧
姆 定 律 |
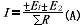
2、有源支路![]() 式中:E----支路电动势(V)U、I、R与无源支路同 -----±U与I向、E与I同向取+号,否则取一号 图A 。图B![]() |
![]() |
|||||||||
|
欧
姆 定 律 |
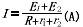
3、全电路![]() 式中:E1、E2--回路电动势(V) ------I-------回路电流(A) ------ΣR-----回路电子之和(Ω) ------±------E1、E2与I同向取+否则取-号 ![]() |
![]() |
|||||||||
|
导
体 电 阻 |
|
![]() |
|||||||||
|
导
体 电 阻 与 温 度 关 系 |
(Ω)式中: ---导体t℃时的电阻(Ω)------ ---导体20℃时的电阻(Ω)-------a----导体的电阻温度系数(1/℃) -------t----温度(℃) |
||||||||||
|
电
导 与 电 导 率 |
|
||||||||||
|
功 率 |
![]() 式中:P--功率(W) ------U--电压(V) ------I--电流(A) ------R--电阻(Ω I不变(电阻串联)时,P与R成正比 U不变(电阻并联)时,P与R成反比 |
||||||||||
|
电
阻 串 、 并 、 复 联 |
串联:电阻:
|
![]() |
|||||||||
|
电
阻 串 、 并 、 复 联 |
|
![]() |
|||||||||
|
电
阻 串 、 并 、 复 联 |
|
![]() |
|||||||||
|
电容器串、并、复联
|
|
![]() |
|||||||||
|
电容器串、并、复联
|
并联: 当n个相同等的CO并联时C=nco |
![]() |
|||||||||
|
电容器串、并、复联
|
并联: 当n个相同等的CO并联时C=nco |
![]() |
|||||||||
|
屏蔽线圈串、并联的等效电感
|
串联![]() |
![]() |
|||||||||
|
屏蔽线圈串、并联的等效电感
|
|
![]() |
|||||||||
|
电池串、并联
|
|
![]() |
|||||||||
|
电池串、并联
|
|
||||||||||
直流电路的计算公式

,图B


。图B





)
(Ω)
---导体t℃时的电阻(Ω)
---导体20℃时的电阻(Ω)
---电导率(A)
---电阻率(S)

=0时,R2上的分电压




=00时,R2上的分电流:


















