有关阻抗的计算公式,电容阻抗计算公式,计算差分阻抗时的注意事项,先满足差分阻抗,很多是电流模式取电压的,再考虑单端阻抗。
阻抗的计算公式
阻抗公式z= r+j ( xl–xc)
负载是电阻、电感的感抗、 电容的容抗三种类型的复物,复合后统称“阻抗”,写成数学公式即是:阻抗z= r+j ( xl –xc) 。其中r为电阻,xl为感抗,xc为容抗。如果( xl–xc) > 0,称为“感性负载”;反之,如果( xl –xc) < 0称为“容性负载”。
电容阻抗计算公式
容抗公式:xc=1/ωc
实战问题:(100+j200-j400)/(100+j200)*(-j400)=?
答案:-32+24j ps:这个就是复数的计算,反复变形就能算出来。 附加:传输线阻抗的由来以及意义
传输线阻抗是从电报方程推导出来(具体可以查询微波理论)
如下图,其 为平行双导线的分布参数等效电路:

从此图可以推导出电报方程

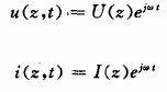
取传输线上的电压电流的正弦形式

得

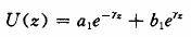
推出通解


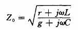
定义出特性阻抗

无耗线下r=0, g=0 得

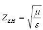
注意,此特性阻抗和波阻抗的概念上的差异(具体查看平面波的波阻抗定义)

特性阻抗与波阻抗之间关系可从
此关系式推出.
ok,理解特性阻抗理论上是怎么回事情,看看实际上的意义,当电压电流 在传输线传播的时候,如果特性阻抗不一致所求出的电报方程的解不一致,就造成所谓的反射现象等等.在信号完整性领域里,比如反射,串扰,电源平面切割等问 题都可以归类为阻抗不连续问题,因此匹配的重要性在此展现出来. 叠层(stackup)的定义
我们来看如下一种stackup,主板常用的8 层板(4 层power/ground 以及4 层走线层,sggssggs,分别定义为l1, l2…l8)因此要计算的阻抗为l1,l4,l5,l8

下面熟悉下在叠层里面的一些基本概念,和厂家打交道经常会使用的
oz 的概念
oz 本来是重量的单位oz(盎司 )=28.3 g(克)
在叠层里面是 这么定义的,在一平方英尺的面积上铺一盎司的铜的厚度为1oz,对应的单位如下

介电常数(dk)的概念
电 容器极板间有电介质存在时的电容量cx 与同样形状和尺寸的真空电容量co之比为介电常数:
ε = cx/co = ε'-ε"
prepreg/core 的概念
pp 是种介质材料,由玻璃纤维和环氧树脂组成,core 其实也是pp 类型介质,只不过他两面都覆有铜箔,而pp 没有. 传输线特性阻抗的计算
首先,我们来看下传输线的基本类型,在计算阻抗的时候通常有如下类型: 微带线和带状线,对于他们的区分,最简单的理解是,微带线只有1 个参考地,而带状线有2个参考地,如下图所示

对照上面常用的8 层主板,只有top 和bottom 走线层才是微带线类型,其他的走线层都是带状线类型
在计算传输线特性阻抗的时候, 主板阻抗要求基本上是:单线阻抗要求55 或者60ohm,差分线阻抗要求是70~110ohm,厚度要求一般是1~2mm,根据板厚要求来分层得到各厚度高度.
在此假设板厚为 1.6mm,也就是63mil 左右, 单端阻抗要求60ohm,差分阻抗要求100ohm,我们假设以如下的叠层来走线

先来计算微带线的特性阻抗,由于top 层和bottom 层对称,只需要计算top 层阻抗就好的,采用polar si6000,对应的计算图形如下:

在计算的时候注意的是:
1,你所需要的是通过走线阻抗要求来计算出线宽 w(目标)
2,各厂家的制程能力不一致,因此计算方法不一样,需要和厂家进行确认
3,表层采用coated microstrip 计算的原因是,厂家会有覆绿漆,因而没用surface microstrip 计算,但是也有厂家采用surface microstrip 来计算的,它是经过校准的
4,w1 和w2 不一样的原因在于pcb 板制造过程中是从上到下而腐蚀,因此腐蚀出来有梯形的感觉(当然不完全是)
5, 在此没计算出精确的60ohm 阻抗,原因是实际制程的时候厂家会稍微改变参数,没必要那么精确,在1,2ohm 范围之内我是觉得没问题
6,h/t 参数对应你可以参照叠层来看
再计算出l5 的特性阻抗如下图

记得当初有各版本对于stripline 还有symmetrical stripline 的计算图,实际上的差异从字面来理解就是symmetrical stripline 其实是offset stripline 的特例h1=h2
在计算差分阻抗的时候和上面计算类似,除所需要的通过走线阻抗要求来计算出线宽的目标除线宽还有线距,在此不列出。
选用的 图是


在计算差分阻抗时注意:
1,在满足ddr2 clock 85ohm~1394 110ohm 差分阻抗的同时又满足其单端阻抗,因此通常选择先满足差分阻抗(很多是电流模式取电压的),再考虑单端阻抗(通常板厂是不考虑的,实际做很多板子,问题确实不算大,看样子差分线还是走线同层同via 同间距要求一定要符合)