【感应电动机的功率转换过程与转矩计算公式(图文)】
关于感应电动机的功率转换与转矩计算的小知识,介绍了感应电动机的功率转换过程,功率方程式,转矩方程式,以及电磁转矩方程式的计算方法,用图文并茂的方式介绍感应电动机的功率转换方法。
一、功率转换过程:
定子端输入电功率P1,其中小部分消耗于定子铜耗,铁耗,余下为通过气隙旋转磁场利用电磁感应作用传递到转子的电磁功率;这其中小部分消耗于转子铜耗,铁耗,余下为转子总的机械功率,再补偿掉机械损耗和附加损耗后,余下为转子轴上输出净机械功率。这一过程可用功率图形象表示。转矩×机械角速度=功率。

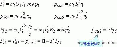
二、功率方程式:
在T型等值电路图中利用电流通过各种电阻时的损耗表示:


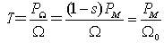
三、转矩方程式:

电磁转矩概念的理解:
,转子本身产生机械功率;旋转磁场对转子做功两方面理解。
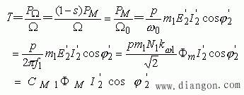
四、电磁转矩公式:
可象直流机那样,利用电磁力定律用积分求,这里据等值电路和相量图来推导:

