有关电场强度的公式,在不同的电场中,电场强度的大小是不一样的,用来计算电场强度的公式也是不同的,这里介绍了电场强度的三个公式,供大家学习参考。
电场强度公式
在匀强电场中:E=U/d。

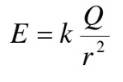
如果知道一电荷受力大小可用:E=F/q,则点电荷形成的电场为:E=kq/r^2。
参数:k为一常数,q为此电荷的电量,r为到此电荷的距离。
可知:随r的增大,点电荷形成的场强逐渐减小。不与r成正比,只与r^2成正比。
电场强度公式:E=U/d=4πkQ/εS,且做功W=U*q。
电场强度(矢量)与电势(标量)均由电场本身决定,电场力与电势能还与带电体带的电量多少和电荷正负有关;
附1,电场强度的三个公式。
1、公式:E=F/q
此公式为电场强度的定义式,适用于计算任何电场的电场强度。
2、公式:
此公式适用于计算点电荷形成的电场的电场强度。
3、公式:E=U/d
此公式适用于计算匀强电场的电场强度。
以上就是电场强度公式的相关内容,希望对大家有所帮助。