有关继电器的继电特性,有哪位知道继电器的继电特性是什么,帮助解释下,继电器的继电特性,是指继电器的输入量和输出量在整个变化过程中的相互关系。
一、继电器的继电特性

继电器的继电特性是指继电器的输入量和输出量在整个变化过程中的相互关系。无论是动作还是返回,继电器都是从起始位置到最终位置,它不可能停留在某一个中间位置上。这种特性就称之为继电器的“继电特性”。
继电器的继电特性:继电器的输入信号x从零连续增加达到衔铁开始吸合时的动作值xx,继电器的输出信号立刻从y=0跳跃到y=ym,即常开触点从断到通。一旦触点闭合,输入量x继续增大,输出信号y将不再起变化。当输入量x从某一大于xx值下降到xf,继电器开始释放,常开触点断开。我们把继电器的这种特性叫做继电特性,也叫继电器的输入-输出特性。
释放值xf与动作值xx的比值叫做反馈系数,即 Kf= xf /xx。触点上输出的控制功率Pc与线圈吸收的最小功率P0之比叫做继电器的控制系数,即Kc=PC/P0。
二、继电器的继电特性的基本要求
分别为:可靠性、快速性、灵敏性、选择性,这是四条基本要求。
继电器的输入信号x从零连续增加达到衔铁开始吸合时的动作值xx,继电器的输出信号立刻从y=0跳跃到y=ym,即常开触点从断到通。
一旦触点闭合,输入量x继续增大,输出信号y将不再起变化。当输入量x从某一大于xx值下降到xf,继电器开始释放,常开触点断开。把继电器的这种特性叫做继电特性。
三、继电器的继电特性与继电器的返回系数
为了保证继电保护可靠工作,对其动作特性有明确的“继电特性”要求。
对于过量继电器如过电流继电器,流过正常状态下的电流I时是不动作的,输出高电早(或其触点是打开的),只有其流过的电流大于整定的动作电流Iop时,继电器能够突然迅速的动作、稳定和可靠地输出低电平(或闭合其触点);
在继电器动作以后,只当电流减小到小于返回电流Ire以后,继电器又能立即突然地返回到输出高电子(或触点重新打开)。图给出用输出电平低高表示过电流继电器动作与返回的继电特性曲线。
无论启动和返回,继电器的动作都是明确干脆的,不可能停留在某一个中间位置,这种特性称之为“继电特性”。

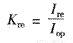
返回电流与启动电流的比值称为继电器的返回系数,可表示为:

为了保证动作后输出状态的稳定性和可靠性,过电流继电器(以及一切过量动作的继电器)的返回系数恒小于1。
在实际应用中,常常要求过电流继电器有较高的返回系数,如O.85-0.9。过电流继电器动作电流的调整,一般利用调整整定环节的设定值来实现。