有关电压互感器馈路有功计量的影响因素,三相三线电能表的原理接线及有功计量的向量分析,电压互感器一次侧单相断线对馈路有功计量的影响,电压互感器二次侧单相断线对馈路有功计量的影响分析等。
电压互感器馈路有功计量的影响因素
35kV小型变电所,10kV母线电压互感器一般选用三只单相互感器组合接线,采用熔断器保护,熔丝细,易受大风或震动影响而断线;
电压互感器二次侧一般选用快速小保险熔丝保护,10kV馈路均采用三相两元件电能计量表,表计接线松动或操作不当保险熔丝熔断,亦可造成二次回路断线。这两种情况都会造成10kV用户专线有功计量不准确。
电压互感器单相断线对馈路有功计量的影响,总结为:
一、三相三线电能表的原理接线及有功计量的向量分析
三相三线电能表,根据其原理绘制出向量分析图见图1。

图1 正常情况向量图
接入电能表第一个元件的电压为Uab,电流为Ia,
其相位角为30°+φa;接入电能表第二个元件的电压为Ucb,电流为Ic,其相位角为30°-φc。
当三相电路完全对称时,其测量的三相有功功率为:

当电压对称而负荷电流不对称时,其测量的三相有功功率为:P=UabIacos(30°+φa)+UcbIccos(30°-φc)
二、电压互感器一次侧单相断线对馈路有功计量的影响
分析电压互感器一次侧单相断线对馈路有功计量影响的方法,应先根据断线情况绘制出向量分析图;再计算出两元件上所接入电压和电流的相位差,并将元件上所加电压换算成线电压;其次根据上述参数,计算出此种情况下,电能表所测的有功功率P断;最后计算出更正系数K值。
以一次侧A相断线为例分析如下:当A相断线时,三相三线电能表第一元件所加电压为Uab=-Ub,接入电流为Ia,其相位差φ1=60°+φ;第二元件所加电压为Ucb,接入的电流为Ic,其相位差φ2=30°-φ,此种情况向量分析图如图2所示。

图2 A相断线向量图
由上述可知,其测量的有功功率为:

耗电量的更正系数:K=P/P断A=1.5
三、电压互感器二次侧单相断线对馈路有功计量的影响分析
分析电压互感器二次侧单相断线对馈路有功计量影响的方法和上述方法相同。现以二次侧b相断线为例分析如下:
画出二次侧b相断线时,三相三线电能表的向量图见图3。

图3 b相断线向量图
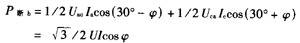
此种情况下,三相三线电能表第一元件所加电压为1/2Uac,接入电流为Ia,其相位差φ1=30°-φ;第二元件所加电压为1/2Uca,接入电流为Ic,其相位差φ2=30°+φ;故三相三线电能表测量的有功功率
P断b为:

其所耗电量的更正系数:K=P/P断b=2
四,总结
1、10kV母线电压互感器一次侧单相断线(一般为熔断器熔断),将造成出线的电能计量误差很大,不论是那相断线,其所耗电量的更正系数均为1.5。
2、10kV母线电压互感器二次侧单相断线(一般为保险熔丝熔断或二次线松动),同样会造成出线的电能计量误差较大。b相断线尤其明显,其所耗电量的更正系数为2;a相或c相断线亦将造成不同程度的误差,其所耗电量的更正系数不定,随负荷变化而变化。
3、10kV母线电压互感器一次侧或二次侧单相断线,在一些35kV变电所无音响信号发出,故障不易及时发现,这样对10kV专线用户电能计量影响很大,要重视电压互感器一、二次回路的运行维护,加强管理,形成定时检测回路运行正确性的制度,以免造成不必要的损失。