交流电压的测量方法
一、交流电压的表征
交流电压可以用峰值、平均值、有效值、波峰因数和波形因数来表征。
- 峰值UP
- 峰值是交变电压在所观察的时间或一个周期内所能达到的最大值。以零电平为参考的最大电压幅值(用Up表示 )。如图1所示。
注:以直流分量为参考的最大电压幅值则称为振幅,(通常用Um表示)。

图1 交流电压的峰值与振幅值曲线
- 平均值

数学上定义为:
相当于交流电压u(t)的直流分量。交流电压测量中,平均值通常指经过全波或半波整流后的波形(一般若无特指,均为全波整流):
,如图2所示。

图2 交流电压的平均值曲线
对理想的正弦交流电压u(t)=Upsin(ωt),若ω=2π/T ,
平均值:
3.有效值
某一交流电压的有效值等于直流电压的数值U,当该交流电压和数值为U的直流电压分别施加于同一电阻上时,在一个周期内两者产生的热量相等。则数学式可表示为
,实质上即数学上的均方根定义,因此电压有效值有时也写作Urms。

图3 交流电压的有效值曲线
对理想的正弦交流电压u(t)=Upsin(ωt),若ω=2π/T ,
有效值:
4.波形系数与波峰系数
交流电压的有效值、平均值和峰值间有一定的关系,可分别用波形因数(或称波形系数)及波峰因数(或称波峰系数)表示。
波形系数KF,定义为该电压的有效值与平均值之比
;
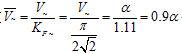
波峰系数Kp ,定义为该电压的峰值与有效值之比
对理想的正弦交流电压u(t)=Upsin(ωt),若ω=2π/T,
波形系数:
波峰系数:
同理:我们可以得到不同波形交流电压的参数,如表1所示。
(注:这里A=Up,即电压峰值) (来自:电工技术之家)
表1 不同波形交流电压的参数


二、交流电压的测量方法
测量交流电压的方法很多,依据的原理也不同。其中最主要的是利用交流/直流(AC/DC)转换电路将交流电压转换成直流电压,然后再接到直流电压表上进行测量。
根据AC/DC转换器的类型,可分成检波法和热电转换法。根据检波特性的不同,检波法又可分成平均值检波、峰值检波、有效值检波等。
模拟电压表组成方案
检波器是实现交流电压测量(AC-DC变换)的核心部件,同时,为了测量小信号电压,放大器也是电压表中不可缺少的部件,因此,组成方案有两种类型:
一种是先检波后放大,称为检波-放大式;
一种是先放大后检波,称为放大-检波式。
模拟电压表的两个重要指标:带宽和灵敏度(分辨力)。
检波-放大式和检波-放大式的特点:检波二极管的非线性,限制了检波—放大式电压表的灵敏度,因此虽然其频率范围较宽,但测量灵敏度一般仅达到mV级。
而对于放大—检波式电压表,由于受到放大器增益与带宽矛盾的限制,虽然灵敏度可以提高,但频率范围却较窄,一般在10MHz以下。
1.峰值电压表

图4 峰值电压表的组成原理框图
峰值电压表常用检波—放大式类型,这类电压表灵敏度较低,一般为几十毫伏。测量电压的上限取决于检波二极管的反向击穿电压。工作频率范围取决于检波二极管的高频特性,一般可达几百兆赫兹,检波-放大式电压表常称为“高频毫伏表”或“超高频毫伏表” 。如国产DA36型超高频毫伏表,频率范围为10kHz~1000MHz,电压范围(不加分压器)1mV~10V。
为提高灵敏度,采用高增益、低漂移的直流放大器,如斩波稳零式直流放大器,其灵敏度可达几十微伏。
2.平均值电压表

图5 平均值电压表的组成原理框图
该表又称为放大-检波式电压表,先放大再检波,在平均值电压表中,检波器对被测电压的平均值产生响应,一般的“宽频带毫伏表”基本属于这一类。这种电压表的频率范围主要受到放大器带宽的限制,而灵敏度受放大器内部噪声的限制,一般可以做到毫伏级。因此灵敏度很高。典型的频率范围为20Hz-10MHz,故又称为视频毫伏表,主要用于低频电压测量。
3. 有效值电压表
以上均值表、峰值表测的不是有效值,只是按有效值读数,故实为伪有效值。
而有效值电压表,直接获得有效值,是真有效值表。
有效值电压表实现方案主要有两种:有效值的物理定义----热电偶式;有效值的数学定义----计算式。
表2 三种电子电压表主要特性比较

4.外差式电压表
检波二极管的非线性,限制了检波—放大式电压表的灵敏度,因此虽然其频率范围较宽,但测量灵敏度一般仅达到mV级。
而对于放大—检波式电压表,由于受到放大器增益与带宽矛盾的限制,虽然灵敏度可以提高,但频率范围却较窄,一般在10MHz以下。
同时两种方式测量电压时,都会由于干扰和噪声的影响而妨碍了灵敏度的提高。外差式电压测量法在相当大的程度上解决了上述矛盾。

图6 外差式电压表的组成原理框图
外差式选频电平表通过外差式接收机扩展了频率范围,通过窄带中频放大实现高灵敏度。很好地解决了测量灵敏度与频率范围的矛盾。被测电压的放大主要由后面的中频放大器完成。被测信号经输入电路,与本振信号一起进入混频器转变成频率固定的中频信号,经中频放大器放大后进入检波器转变成直流电压推动表头显示。
由于中频放大器具有良好的频率选择性和固定中频频率,从而解决了放大器 增益带宽的矛盾;又因为中频放大器的极窄的带通滤波特性,因而可以在实现高增益的同时,有效地削弱干扰和噪声(它们都具有很大的带宽)的影响,使测量灵敏度提高到llV级, 因此称为“高频微伏表”。典型的外差式电压表如DW—1型高频微伏表,最小量程15,V, 最大量程15mV(加衰减器可扩展到1.5v),频率范围从100kHz到300MHz,分8个频段,基本误差为13%。
三、平均值电压的测量
1.平均值检波器的工作原理

图7 常用的平均值检波电路
当测量任意波形电压时,将从电压表刻度盘上取得的示值先除以定度系数,折算成正弦波电压(取绝对值)的平均值;再按平均值相等示值也相等的原则,用波形系数换算出被测的非正弦波电压有效值。
- 原理均值响应,即:u(t) à放大à均值检波à驱动表头
- 刻度特性

图8 平均值检波刻度曲线图
表头刻度按(纯)正弦波有效值刻度。因此:
当输入u(t)为正弦波时,读数α即为u(t)的有效值V(而不是该纯正弦波的均值)。
对于非正弦波的任意波形,读数α没有直接意义(既不等于其均值也不等于其有效值V)。但可由读数α换算出均值和有效值。
刻度特性
由读数α换算出均值和有效值的换算步骤如下:
- 第一步,把读数α想象为有效值等于α的纯正弦波输入时的读数,即

- 第二步,由 计算该纯正弦波均值

- 第三步,假设均值等于
的被测波形(任意波)输入 ,即
- 注:“对于均值电压表,(任意波形的)均值相等,则读数相等” 。
- 第四步,由
,再根据该波形的波形因数(查表可得),其有效值 
上述过程可统一推导如下:

上式表明,对任意波形,欲从均值电压表读数α得到有效值,需将α乘以因子k。(若式中的任意波为正弦波,则k=1,读数α即为正弦波的有效值)。
综上所述,对于任意波形而言,均值电压表的读数α没有直接意义,由读数α到峰值和有效值需进行换算,换算关系归纳如下:
式中,α为均值电压表读数,KF为波形因数。
波形误差:若将读数α直接作为有效值,产生的误差

四、有效值电压的测量
- 有效值电压表工作原理:
真空或半导体二极管在其正向特性的起始部分,具有近似的平方律关系,如图9所示。图中E0为偏置电压,当信号电压ux较小时,有

图9 平方率的获得
式中k是与二极管特性有关的系数(称为检波系数).由于电容C的积分(滤波)作用,流过微安表的电流正比于i的平均值,即
,从而实现了有效值转换。
另一种有效值转换的方法是利用热电偶来实现的。

图1 电热偶转换原理
图中,直流电流I与被测电压u(t)的有效值V的关系:
电流I∝热电动势∝热端与冷端的温差,而热端温度∝u(t)功率∝u(t)的有效值V的平方,故,
。
表头刻度线性化处理:采用两对相同的热电偶,分别称为测量热电偶和平衡热电偶,如图11。

图11 热电式有效值电压表原理图
上图中,通过平衡热偶形成一个电压负反馈系统。
测量热偶的热电动势Ex∝V2,令Ex=k1V2 ;
- 平衡热偶的热电动势Ef∝Vo2,及Ef =k2Vo2 ;
- 假如两对热偶具有相同特性,即k1=k2=k ,==〉
- 则差分放大器输入电压Vi=Ex-Ef=k(V2- Vo2) ,
- 若放大器增益足够大,则有Vi=0,==〉Vo=V (即输出电压等于u(t)有效值)
有效值电压表的特点:理论上不存在波形误差,因此也称真有效值电压表(读数与波形无关)。
计算式方法构成有效值电压表
,
硬件实现------有专用IC,如AD637

图12 计算式构成有效值电压表框图
五、峰值电压的测量
- 峰值电压表工作原理:属检波─放大式电子电压表,又称为超高频毫伏表。它由峰值检波器(置于机箱外探头中)、分压器、直流放大器和微安表等组成(置于电压表机箱中),如下图所示。

图3-15 峰值电压表原理图

图13 常见峰值表的检波电路
条件:
