什么是稳压呢?稳压一般由、和稳压器三大部分组成,是一种是能为提供稳定交流电源或直流电源的电子装置。常用的稳压电源有以下几种(稳压电源的种类):
①铁磁谐振式交流稳压器。由饱和扼流圈与相应的器组成,具有恒压伏安特性(交流稳压电源)。
②磁放大器式交流稳压器。将磁放大器和自耦变压器串联而成,利用电子线路改变磁放大器的以稳定输出。
③滑动式交流稳压器。通过改变变压器滑动接点位置稳定输出电压。
④感应式交流稳压器。靠改变变压器次、初级电压的,使输出交流电压稳定。
⑤晶闸管交流稳压器。用晶闸管作功率调整元件。稳定度高、反应快且无。但对通信设备和电子设备造成干扰。
20世纪80年代以后,又出现3种新型交流稳压电源:补偿式交流稳压器。数控式和步进式交流稳压器。净化式交流稳压器。具有良好隔离作用,可消除来自电网的尖峰干扰(稳压电源的工作原理)。在前几篇文章中小编对以上几种电源作了具体的介绍,在这边文章中小编将从稳压电源的技术指标及性能要求、主要功能等方面来介绍什么是稳压电源。
稳压电源的技术指标可以分为两大类:一类是特性指标,如输出电压、输出电滤及电压调节范围;另一类是质量指标,反映一个稳压电源的优劣,包括稳定度、等效内阻(输出)、纹波电压及等。·
对稳压电源的性能,主要有以下四个万面的要求
1.稳定性好
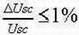
当输入电压Usr(整流、的输出电压)在规定范围内变动时,输出电压Usc的变化应该很小一般要求 。
由于输入电压变化而引起输出电压变化的程度,称为稳定度指标,常用稳压系数S 来表示:

S的大小,反映一个稳压电源克服输入电压变化的能力。在同样的输入电压变化条件下,S越小,输出电压的变化越小,电源的稳定度越高。通常S约为
。
2.输出小
负载变化时(从空载到满载),输出电压Usc,应基本保持不变。稳压电源这方面的性能可用输出表征。
输出电阻(又叫等效内阻)用rn 表示,它等于输出电压变化量和负载变化量之比。

rn 反映负载变动时,输出电压维持恒定的能力,rn 越小,则Ifz 变化时输出电压的变化也越小。性能优良的稳压电源,输出电阻可小到1欧,甚至0.01欧。
3.电压温度系数小
当环境温度变化时,会引起输出电压的漂移。良好的稳压电源,应在环境温度变化时,有效地抑制输出电压的漂移,保持输出电压稳定,输出电压的漂移用温度系数KT来表示:

4.输出电压纹波小
所谓纹波电压,是指输出电压中50赫或100赫的交流分量,通常用或峰值表示。经过稳压作用,可以使整流滤波后的纹波电压大大降低,降低的倍数反比于稳压系数S 。
上节介绍的串联型稳压,用做一种简单的稳压电源,可以满足一般无线电爱好者的需要。但是,这种电源还有许多“天生的”缺陷,要提高对性能的要求,就必须再做一些改进。从以下四个右面对它的性能加以改善,便可做成一台有实用价值的稳压电源了。这就是:增加放大环节,提高稳定性,使输出电压可调;用复合管做调整管,使输出电流增大;增加保护电路,使电源工作安全可靠。
稳压电源的主要功能
1、稳定电压:
当电网电压出现瞬间波动时,稳压电源会以10-30ms的响应速度对电压幅值进行补偿,使其稳定在±2%以内。
2、多功能综合保护:
稳压器除了最基本的稳定电压功能以外,还应具有过压保护(超过输出电压的+10%)、欠压保护(低于输出电压的-10%)、缺相保护、短路过载保护最基本的保护功能。
3、尖脉冲抑制(可选):
电网有时会出现幅值很高,脉宽很窄的尖脉冲,它会耐压较低的电子元件。稳压电源的抗浪涌组件能够对这样的尖脉冲起到很好的抑制作用。
4、隔离传导性电磁干扰(可选):
数控设备多采用AC/DC整流+PFC高频校正,自身有一定的干扰性同时对干扰源也有严格要求。稳压电源的滤波组件能够有效隔离电网对设备的干扰同时也能有效隔离设备对电网的干扰。
5、防雷(可选):应具有的防雷击能力。
总结
通过以上介绍,我们对什么是稳压电源应该有一个具体的认识了,随着电子技术的不断发展,稳压电源将得到更加广泛的应用。本文从稳压电源的技术指标、性能要求及主要功能等方面详细介绍了什么是稳压电源这一知识。