上一章:从实例中学习 OrCAD - PSpe 10.3- AA(PSpice-AA模型参数库)
想要调用PSpice–AA进行优化设计,一般是先进行灵敏度(Sensitivity)分析:以便确定电路中对电路特性影响最大的关键元件参数进行优化。OrCAD9.2以前版本的 灵敏度分析 ,由于有大量数据输出问题没有解决,故只局限于作直流灵敏度分析,置于直流工作点分析内。
直流灵敏度分析:虽然电路特性完全取决于电路中的元器件取值,但是对电路中不同的元器件,即使其变化的幅度(或变化比例)相同,所引起电路特性的变化也不会完全相同。灵敏度分析的作用就是定量分析、比较电路特性对每个电路元器件参数的灵敏程度。PSpice中直流灵敏度分析的作用是分析指定的节点对电路中、独立电压源和独立源、电压控制开关和电流控制开关、、双极共5类元器件参数的灵敏度,并将计算结果自动存入.OUT输出文件中。本项分析不涉及PROBE数据文件。需要注意的是对一般规模的电路,灵敏度分析产生的.OUT输出文件中包含的数据量将很大。
现在用OrCAD10.3版本PSpice–AA中的Sensitivity工具可以对多种电路特性进行直流、交流和瞬态灵敏度分析。本章主要介绍灵敏度分析的基本概念和具体使用方法。
4.1灵敏度的概念
4.1.1灵敏度的概念
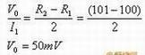
一般情况下电路元件值的微小变化将改变电路某些方面的特性。灵敏度就是用来衡量这个变化的物理量。先举桥形电路为例如图4-1所示,进行说明。

这个电路的转移(即所谓的电路特性)为


4.1.2灵敏度的重要性
在电路设计中,灵敏度之所以成为一个重要因素,其原因有二:一是在大批生产电路时,元器件值对输出变量如V0的灵敏度特性在确定产品的合格率方面起着关键性作用,所以先优化设计它,清晰可见灵敏度分析是参数优化设计的前提和基础。二是对具有高灵敏度的电路,需要许多价格昂贵的高精度的元器件才能正常工作,而对许多低灵敏度的电路,采用元器件值相对于标称值有较大的偏差的元器件也能正常工作,当然采用价格低廉的元器件,所以说灵敏度分析又是容差分析的基础。
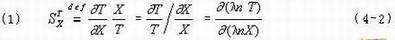
4.1.3灵敏度的定义

![]()
式中,T为电路网络函数(输出变量如Vo),比如、输出阻抗、传输函数和输出电压(或电流)等;X为元件值或影响元件值的某些物理参数,比如温度等。常用的是相对灵敏度有:
![]()
[1]请注意此处也可正向变化10%,既有正向、负向变化。
元件参数单位(UNIT)增量灵敏度由于公式(4-2)定义的灵敏度是在数值上等于变量每增加基本单位值对输出变量的影响。基本单位为1Ω、基本单位为1F实际上常用的是基本单位为1H实际上常用的是想要都变化1基本单位值来比较,就掩盖了、变化的影响。故常用公式(4-3)
![]()
元件参数百分之一(变化1%)增量(PERCENT)灵敏度,Pspice10.3-AA程序多使用这种灵敏度,除了用上面用导数(法)求灵敏度外,还有其他方法求灵敏度,在这里从略[1]。
[1]可参考王辅春主编的网络版《电子电路CAD技术基础》
4.1.4最坏情况分析(Worst-CaseAnalysis)
最坏情况(WorstCase)是指电路中的元件参数在其容差域边界点上取某种组合时所引起的电路性能的最大偏差。最坏情况分析(WorstCaseAnalysis也简称WCASE),就是在给定电路元器件参数容差的情况下,估算出电路性能相对标称值时的最大偏差。如存在最大偏差时都能满足设计要求,那当然是最佳方案。WCASE分析是一种统计分析。在PSpice中原单独列为一种分析,现在合并在高级分析中的灵敏度分析里。
最坏情况分析也是变量一个一个地变化,即每进行一次电路分析,只有一个元器件的一个参数发生变化。这样,可以得出电路的灵敏度特性。
因此,在最坏情况分析中不需要指定执行次数,执行次数完全由变量个数确定。一般情况下,执行次数为变量个数加2。例如,有10个可以变化,则最坏情况分析先进行标称值的电路模拟,然后10个电阻分别变化后进行10次电路模拟,就可以得到电路灵敏度特性对该变量导数,即

式中,V表示任意电路性能函数(如•DC,•AC或•TRAN分析下的函数)。在得到灵敏度后,最后一次进行最坏情况分析。
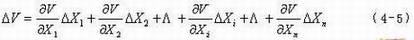
如果有n个元器件参数需要变化,则
![]()

4.2灵敏度分析基本流程和步骤
灵敏度(Sensitivity)分析工作流程如图4-2所示。
