5.7 中的
EMI 中常见的滤波 主要有,共模扼流圈、差模扼流圈和纹波滤波电感。前两种电感主要用于各种 滤波器 ,工作在交流或直流条件。后一种用来滤除整流后的 开关 。工作在直流条件时,要考虑直流磁化对电感的影响。由于滤波器电感要涉及 软磁材料 ,它不像 、元件那样只需要正确选择即可。对 磁性材料 ,不仅要知道它的外部特性,还要了解它的内部原理。因此,下面给大家补充一些磁学和磁性材料的基本知识。
5.7.1 磁性材料的磁特性参数
一个 磁芯 线圈 的关系,来源于磁芯材料的磁感应强度与 磁场 强度的关系即B-H关系,若要了解磁性材料的磁特性,就要了解它的特性曲线和磁性参数。
1. (见图5.32)

由许多不饱和的对称回线顶点,所连接形成的曲线称做基本磁化曲线。重要的特性参数有:
1) Bs(T):开始进入饱和状态的磁感应强度。
2) Br(T):从饱和状态去除磁场后,在磁芯中尚存在的磁感应强度。
3) Hc(A/m或Oe):从饱和状态去除磁场后,磁芯继续被反向磁场磁化,直到磁感应强度减少到零,此时的磁场强度称做矫顽力。
2. 磁特性参数
1) μi初始磁导率:磁材基本磁化曲线的H=0、B=0点附近的斜率再与真空磁导率的比值。

2) μm最大磁导率:基本磁化曲线各点对坐标原点形成的直线斜率中最大的直线斜率再与真空磁导率的比值。

3) μa磁导率:磁性材料中正弦磁感应强度的μm与产生它的正弦磁场强度的振幅Hm之比再与真空磁导率的比值。

以上μi、μm、μa是基本磁化曲线在直流或低频下测量的值。
4) μΔ叠加磁导率:在有直流偏磁情况下或在交、直流磁场同时作用下或磁芯中磁感应强度变化量与磁场强度变化量之比再与真空磁导率的比值。
5) μd动态磁导率(微分磁导率):指磁滞回线上每一点的斜率。
6) μp脉冲磁导率:磁芯材料在脉冲磁场作用下,磁芯中磁感应强度变化量与磁场强度变化量之比再与真空磁导率的比值。
7) μ复数磁导率:磁芯材料在快速交变磁场作用下,磁感应强度B(t)与磁场强度H(t)出现了。

8) μe有效磁导率:在闭合磁路有空气隙的情况下,磁芯中磁感应强度(Bt)与外磁场强度Ha之比再与真空磁导率的比值。

若气隙密度等效闭合磁路强度等效截面积为o、e 和Ae
则:

9) tanδ损耗因数:复数磁导率的虚部与实部的比值。
10) Pco(w/kg或w/cm3):磁芯损耗Bm在一定磁感强度 和一定下,磁芯中单位重量(或单位体积)所损耗的功率。Pco与tanδ有固定关系。单一磁材构成的闭合磁芯存在:

其中
为相对损耗因数
相对损耗因数用来表征弱磁场作用下,磁材初始磁导率μi与插入损耗tanδ之间的关系。μi高而损耗低总是我们所希望的,但高μi磁材料往往损耗也大。
11) Q品质因数
损耗因数的倒数,即

高频下,磁芯产生的损耗与有、无分支磁芯结构和串、并联磁路模型有关(见图5.33,图5.34)


对图5.33(b)磁路:

对图5.34(b)磁路:

式中 ,Rm、Rc是有、无分支磁芯结构的。
计算装有 磁芯线圈 的品质因数时,可应用图5.33(b)磁路公式
这时:

式中,Rc'=Rc+RL;RL为线圈。
12) αμ

式中,μ1、μ2分别是温度为T1、T2时的磁导率。
13) TC居里温度:磁芯状态由铁磁性转为顺磁性的温度,见图5.35。

图中,TC是0.8μmax与0.2μmax的连线与μ=1直线横坐标的交点。
14) ρ(Ω-m或Ω-cm):具有单位截面积和单位长度的磁材值。
15) AL电感因数:在具有确定形状和尺寸的磁芯上,每绕一匝线圈所产生的电感量,
它是整体的性能参数。

16) 磁芯损失
Ph磁滞损失:

Pe涡流损失:经验公式为

Pco磁芯损失:

5.7.2 磁场中的基本概念和规律
1. 连续原理(基尔霍夫磁通原理)
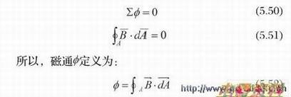
在磁场中,磁感应强度对任何一个闭合面和面积分都等于零,意味着,对任何闭合面,进去的磁通一定等于出来的磁通。所以磁感应线永远是闭合的,见图5.36。


单位为Wb韦伯:1Wb=Tm2,T=Wb/m2
1T(特斯拉)=N/A·m =牛顿/安·米=104GS(高斯)
所以,磁感强度B又称为。
同时,磁通连续原理也反映了磁场与产生它的(宏观)电流之间关系。即在磁场内,磁场强度沿任意闭合路径的线积分等于穿过该闭合路径所限定面积的(宏观)电流的代数和。该面积的方向由右手定则确定。
2. 安培环路定律(基尔霍夫第二定律或基尔霍夫磁压定律)

磁路中的任意闭合路径,在任意时刻,沿该闭合路径各段磁路的磁压降的代数和恒定与围绕磁闭合路径的所有磁通势的代数和。
3. 介质的性能方程
磁介质的性能方程描述了介质对磁场的影响,这个影响由介质的磁导率μ来表征。μ决定了磁场中B与H的比值。

式中,为磁化强度。它的定义是在磁场某点附近的磁介质中,其单位体积内由于磁化而产生的磁偶极的磁矩矢量和,单位:安/米(A/m)。μr为相对磁导率。

式中,ΣPm为ΔV体积内,磁偶极子的磁矩矢量和。磁化强度
磁化电流 存在下列关系:

即磁化电流由于磁化而形成,等效于穿过所取环路线的电流值和,见图5.37。

4. 磁路的欧姆定律、磁阻、磁导

5. 磁感应定律

6. 储能定律:反映磁性元件在传递瞬变电流I时与其所储能量W的关系。

7. 磁路与
电路分析的任务是求解电压、电流之间的关系。如已知电压求电流,或已知电流求电压。同样,磁路分析的任务是求解磁通势(简称磁势)、磁通之间的关系。如已知磁通求磁势,或已知磁势求磁通。
对含有磁芯线圈电路的分析,如属稳态分析(在恒压、恒流作用下即直流状态),磁路分析和电路分析可以分别独立进行,因为这时器件的磁通不随时间变化,不产生感应电压,不影响电路的运行状态。但在交流电压、电流作用时,器件中的磁通随时间变化将产生感应电压,影响电路的运行,所以这时磁路分析与电路分析必须同时进行。其中的道理很简单,电和磁的关系是相互依存和相互转化的,一方面是“电生磁”,电流产生磁场;另一方面是“磁生电”,磁的变化产生电压。前者通过安培定律和介质性能方程等反映;后者通过电磁感应定律反映。
和复数广泛应用于交流电路一样,复数也广泛应用于交流磁路,如磁导率也由实部μ'和虚部μ"表示,用μ=μ'-j"或用直角坐标表示。tanδ= μ"/μ'中实部μ'代表无功磁导率,构成的磁材电感与交变磁场(即
同相),虚部μ"代表损耗与交变磁场(即
向位差90°)