无线CPE安装注意事项


一、设备选型

  1、根据环境具体需求选取合适型号的CPE设备;

  2、CPE设备必须同型号配对使用,不能使用不同型号设备配对。

  二、CPE位置与MAC地址记录

  当使用较多CPE设备时,安装前需记录每个位置CPE对应MAC地址,同时修改每个CPE设备的登录IP地址,方便后续在Pharos Control集中管理软件中统一管理CPE设备。

  三、选择安装位置

  1、安装高度

  无线传输过程中,树木、高楼和大型钢筋建筑物等障碍物都会削弱无线信号。为提高无线传输性能,防止信号受阻,安装时请确保无线CPE间的视线范围内无障碍物阻挡,如下图所示。

  无线CPE安装注意事项

  侧视图

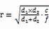
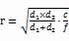
  如何计算设备的最小安装高度?

  我们首先要引入“菲涅耳区”这个概念。无线信号在传输过程中,发送端和接收端之间的大型建筑物或树木等障碍物会反射信号,引起信号的多径传播,从而造成信号衰落。在以收发天线的连线为轴心,以r 为半径的一个类似于管道的区域内,若没有障碍物的阻挡,则可认为信号在自由空间中传播,没有衰落。这个管道区域称为菲涅尔区(Fresnel Zone)。菲涅尔区是一个椭球体,如下图所示:

  无线CPE安装注意事项

        无线CPE安装注意事项其中:

  r 为菲涅耳半径(以米为单位计量);

                                               c 为光速,即 3x108m/s;

                                               f 为无线信号的频率(以Hz 为单位计量);

                                               d1 和d2分别是收发天线之间的连线上某测量点到发

                                               送设备和接收设备之间的距离(以米为单位计量)。

  实际应用中,为保证系统正常通信,收发天线架设的高度要满足尽可能使它们之间的障碍物不超过其菲涅尔区的40%。例如,假设d1 和d2 分别是2km 和8km,CPE 的工作频率f 是2.4GHz,则根据上述公式,菲涅尔半径r为14.142m。考虑40% 的容忍度,则可接受的半径为8.485m。假设障碍物高度h 为10m,则无线CPE 的架设高度应高于18.485m。类似地,计算出所有障碍物所在处的结果,其中的最大值即为最终结果。

  2、安装方向

  安装CPE 设备时请调整其正面板朝向,确保接收设备在其信号覆盖范围内。可以借助谷歌地图、GPS 等工具,并结合CPE 设备的水平波瓣宽度来大致判断CPE 的朝向。

  CPE 的水平波瓣宽度如下表所示:

   机型

   TL-CPE210

   TL-CPE510

   水平波瓣宽度

   65°

   45°

  如下图所示,白色扇形区域即为CPE 的信号覆盖范围。

  无线CPE安装注意事项

  俯视图

  四、连接与安装

  请参考下图进行连接与安装。

  无线CPE安装注意事项

  五、静电与雷击防护

  对室外设备而言,防雷接地是极其重要的一步。如下图所示,室外无线CPE 可通过两种方式接地。采用方法通过带地线的超5 类(或以上)屏蔽网线与PoE 适配器相结合进行接地可以方便有效地防止静电和雷击危害。如果您使用的是一般的屏蔽网线,则需要采用方法使用地线将CPE 的防雷接地柱与建筑物的接地端相连进行接地。

  无线CPE安装注意事项

  无线CPE安装注意事项