为了便于分析,把被测金属导体上形成的电涡流等效成一个短路环中的,这样就可以得到如下图所示的等效。
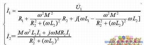
图中R1,L1为探头线圈的和,短路环可以认为是一匝短路线圈,其中R2,L2为被测导体的和。探头线圈和导体之间存在一个M,它随线圈与导体间距离的减小而增大。U1为激励,根据基尔霍夫电压平衡方程式,上图等效电路的平衡方程式如下:

经求解方程组,可得I1和I2表达式:

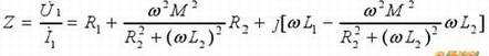
由此可得传感器线圈的等效为:

从而得到探头线圈等效和电感。
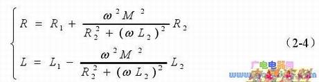
通过式(2-4)的方程式可见:涡流的影响使得线圈阻抗的实部等效电阻增加,而虚部等效电感减小,从而使线圈阻抗发生了变化,这种变化称为反射阻抗作用。所以电涡流传感器的工作原理,实质上是由于受到交变磁场影响的导体中产生的电涡流起到调节线圈原来阻抗的作用。

因此,通过上述方程组的推导,可将探头线圈的等效阻抗Z表示成如下一个简单的函数关系:
![]()
其中,x为检测距离;μ为被测体磁导率;ρ为被测体;f为线圈中激励电流。
所以,当改变该函数中某一个量,而固定其他量时,就可以通过测量等效阻抗Z的变化来确定该参数的变化。在目前的测量电路中,有通过测量ΔL或ΔZ等来测量x ,ρ,μ,f的变化的电路。