1).基本原理
为了说明三相异步电动机的工作原理,我们做如下演示实验,如下图所示。

(1).演示实验:在装有手柄的蹄形磁铁的两极间放置一个闭合导体,当转动手柄带动蹄形磁铁旋转时,将发现导体也跟着旋;若改变磁铁的转向,则导体的转向也跟着改变。
(2).现象解释:当磁铁旋转时,磁铁与闭合的导体发生相对运动,鼠笼式导体切割磁力线而在其内部产生感应和感应。感应电流又使导体受到一个电磁力的作用,于是导体就沿磁铁的旋转方向转动起来,这就是异步电动机的基本原理。
转子转动的方向和磁极旋转的方向相同。
(3).结论:欲使异步电动机旋转,必须有旋转的磁场和闭合的转子绕组。
2).旋转磁场
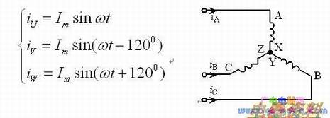
(1).产生下图示最简单的三相定子绕组AX、BY、CZ,它们在空间按互差1200的规律对称排列。并接成星形与三相U、V、W相联。则三相定子绕组便通过三相对称电流:随着电流在定子绕组中通过,在三相定子绕组中就会产生旋转磁场。

当wt=00时,,AX绕组中无电流;为负,BY绕组中的电流从Y流入B1流出;为正,CZ绕组中的电流从C流入Z流出;由右手螺旋定则可得合成磁场的方向如下图(a)所示。
当wt=1200时,,BY绕组中无电流;为正,AX绕组中的电流从A流入X流出;为负,CZ绕组中的电流从Z流入C流出;由右手螺旋定则可得合成磁场的方向如下图(b)所示。
当wt=2400时,,CZ绕组中无电流;为负,AX绕组中的电流从X流入A流出;为正,BY绕组中的电流从B流入Y流出;由右手螺旋定则可得合成磁场的方向如下图(c)所示。
可见,当定子绕组中的电流变化一个时,合成磁场也按电流的相序方向在空间旋转一周。随着定子绕组中的三相电流不断地作周期性变化,产生的合成磁场也不断地旋,因此称为旋转磁场。

(2).旋转磁场的方向
旋转磁场的方向是由三相绕组中电流相序决定的,若想改变旋转磁场的方向,只要改变通入定子绕组的电流相序,即将三根线中的任意两根对调即可。这时,转子的旋转方向也跟着改变。