什么是遗产型?我们来看看一些最初的元件,讨论一下为什么应该重新使用这些元件。
随着电子技术的成熟,电子技术也同时开始出现了老化的迹象。随着创新势头的衰弱,取得技术突破所需要的时间越来越长,同时人们也越来越不愿意冒风险。几十年前,一些(IC)公司愿意将一些非同寻常的独创性元件投入市场。比如,20世纪70年代,西格尼蒂克(Signetics)公司就勇于制造一款新颖的,即克马恩齐恩德(Hans Camenzind)的“555定时器”。这款集成成为了最早的遗产型集成电路。
那么其他电路如何呢?本文叙述了这些电路元件,以及应该重新使用它们的原因。
AD639正弦转换器
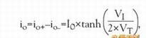
很久以前,巴里.吉尔伯特(Barrie Gilbert)对双极结型(BJT)差分放大电路做了一些研究,这种电路具有一种双曲正切函数(tanh)传递函数:

其中,I0代表射极源和热。VT是26 mV。为了降低非线性度,外接射极RE与放大器中的发射极串联。而研究过程中,吉尔伯特充分运用并体现了工程学中的一句格言“如果不能改变它,那就利用它”。
双曲线正切函数与三角函数成模糊相关。艾科嘉(Exar)公司的Alan Grebene在XR2206函数发生器(FG)集成电路中使用了一只单独的差分放大器,用于将三角波转换成正弦波。研究结果差强人意,但是对于第一代工作来说,结果还是可以接受的。而吉尔伯特对这一基础设想做了更多精细调整。他提出了多个双曲线正切函数概念,即增加了差分放大器的输出,差分放大器各输入之间的偏移是一个固定电压。这一方法扩展了功能(和输入范围),同时也带来了其他方面的创新,比如应用于AD639正弦转换器中的创新。
这种16引脚集成电路是三角学的奇迹。它的功能如此强大,注定要成为一种遗产型集成电路。可惜呀,模拟器件公司(ADI) 将AD639撤出了市场,并且没有替代品。我不知道原因,即使吉尔伯特自己也不知道。AD639似乎注定要成为一个传奇。它可以合成出所有的基础三角函数(正弦、余弦、正切、余切、正割、余割)和它们的反函数。
正弦函数精度达到0.02%,高于大多数函数发生器的正弦输出,总(THD)也同样优于很多音频放大器。该集成电路有两个函数发生器,而且还具有补偿电路,以及一个乘法器和一个除法器。它采用面向小众市场的定价法,因此,无法进入FG仪器以及其它要求精度或低THD的正弦波设备。它的标称值为1.5M。
也许唯一的问题是,由于AD639如此具有吸引力,因而,模拟器件公司(ADI)给它贴上了高价的标签,妨碍了其作为商业元件而进入市场。也许罗彻斯特电子有限公司(Rochester Eleonics)作为“拖尾”市场的主导供应商可以使其复活,并获取它本来能够产生的利润。如果那些第一次没有赶上好时机的元件可以应用于新设计,罗彻斯特电子有限公司没有理由把自己局限于面向过时设备的替代元件供应商。

CA3096双极结型晶体管(BJT)阵列
这是和AD639正弦转换器类似的高度通用性基本单元——晶体管阵列。美国无线电公司(RCA)研制出一种包含一行CA3000系列电路的BJY阵列。对NPN型BJT,有些元件的fTs超过1GHz,非常适用于当今的新型设计。
美国无线电公司(RCA)重新改组后,最终成为英特锡尔(Inter)公司,但是损失了其老旧大尺度工艺的晶圆制造厂。美国泰克(Tektronix)公司在CA3046(或者其等效的National LM3046)元件基础上,设计了自己2205示波器中的纵向放大器,它对于实现快速的双象限或四象限的乘法器很有吸引力。
英特锡尔(Intersil)公司的继承很多,但这类元件的供给有限,虽有但却在减少。这些元件应该回归到某种现有工艺上。它虽不是一个重要的开展项目,但这些元件会大有用途。英特锡尔(Intersil)公司确实研制了一个替代品,即具有数吉赫fTs的HFA3000系列元件,但相应的较低(如图1)。
原始的CA3000系列适应于±12V的电压,但是HFA系列是专为±5V电压设计的。集成电路可以承受最高约10V电压。HFA系列更大的改进是型BJT,它是介质绝缘的,而不是像CA3096(如图2)那样做成了横向晶体管。
CA3096是一种多功能元件,具有三个NPN型BJT和两个PNP型BJT。一个缺点是横向PNP的fT仅为6 MHz左右(很难做出横向BJT所要求的薄基层)。但是,对于很多电路来说,这一规格不是主要的障碍。