泰斯拉线圈实质上是一个,它与普通变压器之间的最重要差别是它不使用铁心。
在普通变压器中,铁心使初级绕组与次级绕组达到紧密的磁耦合,因而变压比等于匝数比。在泰斯拉线圈中,由于没有铁心,谐振效应可使变压比远高于匝数比。在高效的泰斯拉线圈系统中,可提升250倍以上,而最高效的系统可达到500倍。
下图表示泰斯拉线圈系统的基本组成。该分为初级和次级两大部分。变压器使初级电路的Cl充电到几千伏,当Cl上的电压达到电极间距所确定的“过弧电压”时,上的电荷通过电极的放电隙和线圈的初级绕组放电,于是电能转变为线圈中的磁能。

电容放电完毕后,初级线圈的磁能减退,引起的电压脉冲反过来向电容Cl充电。Cl充完电后又向初级绕组放电,如此反复循环,直到能量耗尽为止。
在这个电路中,关键是要最大限度减小性损耗。因此,初级电路的阻值应非常小,应当使用铜管和粗电缆。
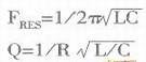
上述的充放电重复一般叫做谐振,本设计的谐振频率约为300k,LC电路的谐振频率FRES和Q值的计算公式如下:

式中L的单位是亨利,电容C的单位是法。
谐振时,输出电压可以是输入电压的许多倍。例如,对于本文的设计来说,在输入电压约为200mV时,测量的输出电压为8V,即增益约为40。按此类推,在输入电压为10000V时,输出电压将超过25万伏。
有一点很重要,那就是要尽可能防止输出的功率消耗于假放电(俗称电晕)。因此,放电端应当有很大的曲率半径,通常做成环形或球形。
泰斯拉设计多种多样,有的使用后的直流,有的使用未经整流的变压器输出。后者比较常用。