由于差动放大器的差模增益仅仅为1,为了提高仪表放大器的差模增益,需要在仪表放大器的前级上打主意,但是又不能继续增加运算放大器的数量。
跟随器实际上就是放大器,只不过是增益为1的同相放大器。也就是说,跟随器是将同相放大器的Rf设置成开路,把RF设置成短路的结果。这一点可以从同相放大器的闭环增益公式看到。
由式中得知,只要设置合适的Rf、RF值,就可以得到所需要的闭环增益,如1000倍。
接下来的问题是,如果将闭环增益设置成1000倍,会是多少?可以从式(6-1)得知,如果运算放大器的开环增益为500 000倍,输入为10MQ(这两个参数是精密运算放大器性能最差的型号OP07的最小值参数),则1000倍的同相放大器的输入阻抗为Ri= ri(l +A. F) =10( MΩ)×(1+5×l05 xl0 -3) =510( MΩ)—500( MΩ)很明显,这是一个很高的输入阻抗。
同相放大器的第二个问题是,同相放大器没有共模抑制能力,仅仅靠差动放大器的那点共模抑制比显然不够,需要在同相放大器一级增加共模抑制比,这就要求同相放大器能够具有其闭环增益的共模抑制比。如何实现呢?
先看同相放大器在共模信号激励和差模信号激励时的状态,电路如下图所示。
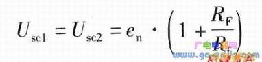
在共模信号激励状态下,放大器Al和A2同时放大共模信号en,在放大器Al和A2的同相输入端对地施加,根据运算放大器同相输入端与输入端虚短原理,放大器Al和A2的反相输入端(C点和D点)也被施加共模信号en。输出端Usc1和Usc2均为

再看同相放大器在差模信号激励下放大器的状态。
在差模信号ed激励下,根据运算放大器同相输入端与反相输入端虚短原理,运算放大器Al的反相输入端C点与A2的反相输入端D点出现数值为ed的电压差,也就是输入差模信号。放大器A1、A2输出端电压差为

从上图分析看到,同相放大器在共模信号激励下,C、D端的电压差为零,而在差模信号激励下为ed。产生共模信号放大的根本原因是Rf的另一端被接地。如果两个Rf的接地端悬空,并且连到一起又会怎样?如下左图所示为带有同相放大器输入的差动放大器。
当共模信号施加到下左图所示的电路时,电路如下右图所示。

对应的放大器Al和放大器A2输出电压相同,故A点和B点电压也相同,Rf上没有,可以认为是开路。等效电路如下图所示。

图中带有同相放大器输入的差动放大器输入共模信号时的等效电路很显然,放大器Al、A2均工作在跟随器状态,对输入信号的增益为1。由于是同相信号,放大器的输出端电压相等,输出电压差为零。Usc1、Usc2的值均为en,没有被放大。
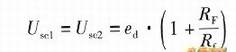
当上图电路的输入端施加差模信号时,根据运算放大器的特点可以知道,运算放大器的同相端电压等于反相端电压。C点电压与D点电压差为ed。两个放大器的输出为

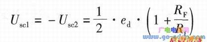
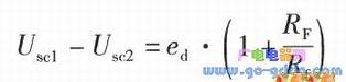
Usc1与Usc2的电压差为
这就是同相差动放大器的共模抑制比。如果l+RF/Rf=1000倍,则同相差动放大器的共模抑制比就是1000倍或60dB。
为了获得尽可能高的共模抑制比和低。在实现测量放大器时,可以采用OP07作为电路中的放大器,用三只OP07构成的测量放大器实际电路如下图所示。

采用三只OP07的电路中,要求电阻的精度与温度稳定性极高。其中标有一个星号的电阻要求精度为0.01%,温度稳定性要求为3ppm/OC;标有两个星号的电阻则要求1%的精度和lOOppm门C的温度稳定性。如果需要增益可调,可以将图中所示电路中的lOOkΩ增益调节电阻用适当电阻值的可调电阻实现。