隔离变换器的100%占空比控制方式的第三个特点是固有的零开关特性。可以通过分析的工作过程证实这个结论。
在开关管的关断过程中,由于开关管的漏一源极间的寄生,使开关管的漏一源极电压不能立即上升,而是漏感(开关管导通时的电流)对这两个寄生器充/放电,等效电路如下图所示。
+
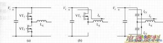
其中,图(a)是桥式变换器主电路的相关部分,即全桥变换器与半桥变换器共有的部分;图(b)为开关管Qi导通时的等效电路,输出电流从直流母线正端经Qi、变压器漏感Ls流入变压器初级,电流幅值,。;图(c)为开关管关断时的等效电路,这时输出电流分别从直流母线的正端经开关管Q,的寄生电容器CQ.流人变压器的漏感Ls,对CQ1充电。与此同时,还有一路电流从直流母线的负端经开关管Q2的寄生电容CQ:流入变压器的漏感Ls,对CQ2放电,这两个电流之和为输出电流。
如果开关管的关断速度快于开关管寄生电容的充电速度,则开关管就可以在低开关损耗甚至是“零”开关损耗下关断,大大降低了开关管的关断损耗。开关管Qi关断时的漏一源极电压和电流波形如下图所示。

当开关管Qi的漏一源极电压达到直流母值时,开关管Q2的寄生导通续流,让变压器漏感的电流达到通路,等效电路如下图所示。

在这个过程中,变压器漏感的储能向直流母线释放,变压器漏感电流下降。

如果在变压器漏感电流下降到零前让开关管Q2开通,由于变压器漏感电流的存在,开关管Q2的寄生二极管导通续流,开关管实际上仅承受一个二极管导通电压降的反向电压。
这样,如果忽略二极管的导通电压降,开关管Q2实际上在“零电压”下开通,实现零电压开关。开关管Q2开通时的等效电路如下图所示。
当变压器漏感电流反向前,开关管是反向导通或寄生二极管导通,等效电路如下图(a)所示;当变压器漏感电流下降到零,由于变压器上已经施加了反向电压,因此,变压器电流翻转,这时的开关管Q2开始正向导通,等效电路如下图b)所示。

开关管Q2开通过程的电压和电流波形如下图所示

图中的VDF、Von分别为开关管寄生二极管的导通电压、开关管的正向导通电压。
从图中还可以看到,开关管在寄生二极管导通续流状态下导通,这时的开关管仅仅承受二极管导通电压的反向电压,因而可以称为零电压开通。
通过以上分析可知,100%占空比的隔离型变换器不仅可以有效地降低电路中各元器件的导通损耗,同时由于固有的零电压开关特性,使开关损耗降到最低。因此,这种变换器的效率在隔离型变换器中是最高的。