在进行CRT彩电行扫描维修时.我们常常很想知道行输出管的平均及行扫描电流的正、负峰值的大概范围,现提供这三个电流的计算公式(暂不提供公式推导过程)。
1.行管平均集电极电流(IAVG):
中UR为行输出管供应;k=Im+/Im-,关于Im+、lm-的定义,请参看下图。

正常状态下,一般k=0.5。
k值与的铁、铜损耗及二次的功耗有关,其中主要与显像管高压电流大小有关,屏幕亮度高则k值越小。如果行无损耗及二次电源空载,则k=l.即行管集电极平均电流为零,不消耗电能。
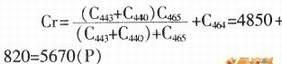
Cr为行逆程总,彩电逆程通常由多个电容并联。某些彩电的部分逆程电容还和鉴相器分压电容串联(检查时,一定要在电视机板上找出所有逆程电容,厂商提供的原理图仅供参考),例如赣新KG-4702彩电,其逆程电容配置如下图所示,其计算方法为:


2.行扫描的正、负峰值电流为:

综上,当k=0.5时,例如赣新KG-4702彩电的行管集电极平均电流为:
![]()
(A)则其Im+=1.5(A)。将理论计算值与上图波形的实际Im+(1,7A)比较,非常接近。与在B+电压处串联直流电流表实测的行管集电极平均电流值(0.29A)比较,也非常接近。将上述公式用于20英寸赣新KG-5406彩电的行电流计算,和实际值也非常接近。
需要特别指出,从上面的公式很容易得出错误的结论:认为逆程电容越大,则行管的各项电流指标越大。这是极其错误的。其实恰恰相反。
因为上述公式是基于偏转线圈与的并联总且行逆程时期也是固定的前提下推导出的,所以逆程电容增大,则逆程越长,正程越短(行固定为64μs)。行管平均电流必然减小。