1引言
用电测法测量非电学量时,首先必须将被测的非电学量转换为电学量而后输入之。通常把非电学量变换成电学量的元件称为变换器;根据不同非电学量的特点设计成的有关转换装置称为,而被测的力学量(如位移、力、速度等)转换成变化的传感器称为传感器。
从能量转换的角度而言,电容变换器为无源变换器,需要将所测的力学量转换成或后进行放大和处理。力学量中的线位移、角位移、间隔、距离、厚度、拉伸、压缩、膨胀、变形等无不与长度有着密切联系的量;这些量又都是通过长度或者长度比值进行测量的量,而其测量方法的相互关系也很密切。另外,在有些条件下,这些力学量变化相当缓慢,而且变化范围极小,如果要求测量极小距离或位移时要有较高的分辨率,其他传感器很难做到实现高分辨率要求,在精密测量中所普遍使用的差动传感器的分辨率仅达到1~5 μm数量级;而有一种电容测微仪,他的分辨率为0.01 μm,比前者提高了两个数量级,最大量程为100±5 μm,因此他在精密小位移测量中受到青睐。
对于上述这些力学量,尤其是缓慢变化或微小量的测量,一般来说采用电容式传感器进行检测比较适宜,主要是这类传感器具有以下突出优点:
(1)测量范围大其相对变化率可超过100%;
(2)灵敏度高如用比率变压器电桥测量,相对变化量可达10-7数量级;
(3)动态响应快因其可动质量小,固有高,高频特性既适宜动态测量,也可静态测量;
(4)稳定性好由于电容器极板多为金属材料,极板间衬物多为无机材料,如空气、玻璃、陶瓷、石英等;因此可以在高温、低温强磁场、强幅射下长期工作,尤其是解决高温高压环境下的检测难题。
2原理及应用
电容传感器的工作原理是利用力学量变化使电容器中其中的一个参数发生变化的方法来实现信号变换的。根据改变电容器的参数不同,电容传感器可有3类:
2.1改变极板遮盖面积的电容传感器
图1是3种这类传感器的原理图,图1(a)中是利用角位移来改变电容器极板遮盖面积。假定当2块极板完全遮盖时的面积为S0,两极板间的距离为d,极板间介质的介电常数为&epon;。当忽略边缘效应时,该电容器的电容量为:
如果其中一块板极相对另一极板转过θ角,则极板间的相互遮盖面积为:

可见,此电容量的变化值和角位移成正比,以此用来测量角位移。
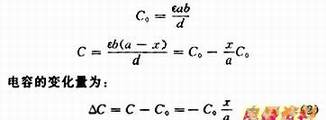
图1(b)中是利用线位移来改变电容器极板的遮盖面积的。如果初始状态极板全部遮盖,则遮盖面积S0=ab,当2块极板相对位移x时,则极板的遮盖面积变为S1=b(a-x)。在介电常数和极板距离不变时,电容量分别为:

可见,此电容量的变化值和线位移x成正比,用他来测量各类线位移。
图1(c)所示电容变换器是图1(b)所示电容器的变种。采用这种锯齿形电极的目的在于提高传感器的灵敏度。若锯齿数为n,尺寸如图1(b)所示不变,当运动齿相对于固定齿移动一个位移x时,则可得:
比较式(2)和式(3)可见,灵敏度提高了n倍。
