利用放大器的交流等效来分析它的几项主要特性。
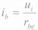
若向下图的放大器中送入小信号ui,则必然有基极信号ib流过rbe很明显,ib大小是:

由于三极管的电流放大功能,集电极将输出电流,其值为:

放大器的输出电压信号uo是由集电极电流ic流过总而得到的。总负载就是集电极Re和外负载RL的并联值,所以有
总负载(Rc/RL)通常用R’L来表示。要注意,上式中的负号表示输出电压的极性与输入信号相反。因为对于负载来说,输出电流ic由下向上流,所以输出电压的极性是上负下正,与我们假设的输入信号极性正好相反。
将ic与输入信号的关系(7)式代入,则输出信号可以写成如下形式:

因此我们可以推导出放大器的电压增益为:

其中的
电压增益以“倍”为单位。
根据分析,我们可以很方便地估算出放大器的电压增益:
①放大器的静态工作电流ICQ=1.2mA,因此根据公式可以计算出

放大器的电压增益大小与3个量有关:三极管电流放大系数β、放大器总负载R’L和三极管输入端动态rbe。从理论上说,若要提高本级放大器的增益,可以选用高p的三极管,或者增大Rc、RL值,或者减小Ybe值。
实际上提高β并不能明显提高增益,这是因为在静态电流不变时,p值的提高会使三极管的rbe值增大。
而rbe值增大会又使增益下降。况且高β值的三极管其温度稳定性相对较差,所以用提高β的方法提高增益是不可取的。
以增大Rc、RL值来提高增益也是不现实的。
首先,集电极Rc的值是在电路设计时考虑到方方面面的特性要求而选定的,是不可以轻易改动的。其次,RL是外负载,其值的大小是客观的,不是我们可以决定的。
提高增益最可行的方法是适当减小rbe。将静态电流ICQ调大一些,rbe将会下降,增益将因此而提高。所以,正确选择和调整放大器的静态工作点是保证放大器有足够增益的基础。