下图是串联负反馈放大器的具体,与基本放大器相比,发射极R。
没有并接旁路Ce。Re是反馈,没有旁路,交流信号就必须通过Re,所以这个电路就不仅仅有直流负反馈,而且对交流信号也存在负反馈。
为什么是电流串联负反馈呢?因为Re是反馈,反馈信号即Re的端。Re与外RL是串联的,反馈信号的大小决定于输出电流的大小,所以属于电流反馈。同时反馈信号与原输入信号也是串联的,因此属于串联反馈。

如果将这个负反馈放大器的交流等效电路画出来,即如下图所示。注意这时发射极电阻Re必须体现,同时要注意流过rbe的电流是ib,电流源的电流是,流过Re的电流是ie。

为了分析电路的方便,我们将Re,对输入端的影响折算到ib回路上,将Re对输出端的影响折算到ic回路上,因此就画成了下图的形式。

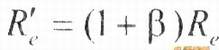
必须注意到:因为
所以图中的
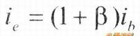
同样,因为
所以图中的
与电流源ic是串联的,在电路分析中我们都认为电流源的内阻是无穷大的,因此
对这一支路并无影响,可以忽略。
假设输入信号电压是ui,那么
从等效电路图可以清楚地看出放大器的输入电阻是
放大器的输出电阻仍然
现在以负反馈放大器为例进行分析计算。
①求静态工作电流:
②求三极管等效输入电阻

③求放大器的电压增益Af:
从上式可以看出,如果没有加入负反馈,它的增益原本可以达到67倍,加入负反馈后下降 到2.8倍,说明负反馈对增益的影响是相当大的。
为了改善放大器的性能,增益的牺牲是必要的,增益的损失可以通过多级放大来补偿。
④求放大器的输入电阻ri:![]()
由于
所以输入电阻比未加负反馈时要增大。由于受到Rb1、Rb2的影响,输入电阻的提高并不明显。
⑤求放大器的输出电阻r0: