绝缘中的介质损耗是以介质损失角的正切值tanδ表示的。测量tanδ的仪器和方法很多,普遍采用的QS1型高压交流平衡电桥(西林电桥)及M型介质损耗测量仪等。西林电桥的接线方法如下图所示。
下图(a)为正接线法,用于两极对地的被试品;下图(b)为反接线法,适用于一极对地的被试品;下图(c)为低压法接线,主要用于测量被试物的值。
其试验操作步骤如下:
(1)根据现场条件选择试验接线,合理安排试验的仪器、试品及操作人员的位置,接好线后,检查接线的正确性。
(2)将R3、C4及检流计灵敏度等旋钮均置于零位,极性转换开关置于“断开”位置。
(3)将分流放在最大位置(1.25A),然后根据测量中R3的指示,改变分流的位置。
(4)合上电桥的光照开关,此时检流计刻度盘毛玻璃上应出现一条狭窄光带,用调零旋钮将光带调至零点。
(5)将调压器置于零位,合上高压试验开关,升压至所需要的试验(8000~10000V)。
(6)将极性调至“+tanδ”、“接通I”的位置。
(7)把检流计灵敏度开关自零点开始逐渐增大,直到使光带扩大到满刻度的1/3~1/2左右为止。
(8)调节检流计的“调整”按钮,使光带达到最大宽度,如光带超出刻度盘时,应减少检流计的灵敏度,再将光带调到最大宽度。
(9)调节R3,使光带缩至最窄,当调整R3不能使光带缩小时,改为调节tanδ(%),使光带进一步缩小;当光带缩小到只有两三个格时,再增大检流计的灵敏度,然后反复调节R3、tanrδ(%),直到检流计灵敏度放到最大位置,再进一步细调R3、ρ及tamδ(%),使光带减至最窄(一般不超过4mm),这时电桥达到平衡。
(10)记下分流Rn、电阻R3、ρ及tans(%)数值,并应立即将检流计灵敏度开关旋回零。
(11)将极性开关旋至“+tanδ”、“接通II”的位置,再次按步骤(9)操作,直至电桥平衡为止,记下分流电阻Rn、电阻R3、p及tanδ(%)数值;其结果与极性开关在“+tanδ”、“接通I位置相比,测量结果差别越大,说明电磁干扰越强。
(12)将检流计灵敏度开关旋回零,断开极性开关,降压并断开试验电源,将试验的高压端接地。
(13)被试品介质损失角正切值tanδ及电容量Cx的计算为:

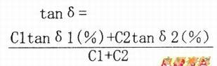
更准确些的tanδ值应为:

式中:
Cl,tanδ(%)-极性开关位于“+tanδ”、“接通I”位置时的Cx计算值和tanδ(%)读数;
C2,tanδ(%)-极性开关位于“+tanδ(%)”、“接通II”位置时的Cx计算值和tanδ(%)读数;
CN-无损标准电容器电容;R3-无感电阻;
Rl-计算用电阻:当分流器开关Sl在0.01A位置时R1=100+R3;当分流器开关Sl位于0.025A、0.06A、0.15A、1.25A时,Rl分别为60Ω,25Ω、10Ω、4Ω。