●
品书香
>
电子设备技术
>
电器电路基础
>
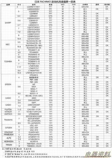
日本PACHINKO游戏机用液晶屏一览表
上一篇:
介绍几款适宜自制的高清晰彩投的液晶屏
下一篇:
液晶屏接口及驱动电路简介
热点内容
·
甲类单管功率放大电路
·
用Keil C为单片机编程的编
·
Windows 8平台键盘十大快
·
了解逻辑门的等效电路
·
电子管自动平衡式倒相电路
·
集成运放的内部结构
·
了解电脑电源
·
基于乘积项(Product-Term
·
液晶面板的代换应注意的问
·
Linux系统是否被黑的判断