一、石英晶体的结构
石英晶体振荡器简称石英晶体或.它是利用晶体的压电效应制成的一种振荡器,其基本结构是:
从一块石英晶体上按~定的方位切割下一块薄片,该薄片为晶片(其形状根据切削方位不同而异),然后在晶片的两个面上涂敷银屡作为电极,在每个电极上各焊一根引线到管脚上,再加上封装外壳(金属、玻璃、陶瓷、塑料)就构成了石英晶体振荡器,如下左图所示,其符号如下右图所示。

二、工作原理
1.压电效应
当拾石英晶体两电极间加上时.晶片将产生机械形变;反之,如果在晶片上施加机械压力时,晶片表面会产生电荷,这种物理现象称为压电效应。如果所加交变电压的与晶体固有频率相等时,晶片产生机械振动的明显加大,这种现象称为压电谐振,此谐振与LC回路的谐振现象十分相似。
2.等效圈
当石英晶体产生机械振动时,其惯性用L来等效,晶片振动时因摩擦而产生的损耗用R等效,晶片的弹性用C等效。当晶体不动时,可把它看成一个平板器称为静电容co.这样石英晶体振荡器可用下左图来等效。
3、频率特性曲线
下右图为石英晶体的阻抗频率特性曲线图。
由下左图、下右图可知:
(1)当交变压电频率f<fs时.C、L、R串联支路呈电容性,此时整个石英晶体相当于一个电容。
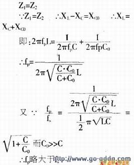
(2)当交变电压的频率f=fs时,C、L、R串联支路发生谐振.fs称为串联谐振频率。由于XL=Xc,所以2πf-
联支路只有R,该支路呈电路,此时整个石英晶体相当于一个阻值很小的纯电阻。
(3)当交变电压的频率fq<f<时。整个电路呈性,此时石英晶体相当于一个电感。
(4)当交变电压的频率f-fp时,图3中的左右两边发生并联谐振,其频率为fp。由于左、右两边大小相等,方向相反,故整个晶体上的电流为零,此时石英晶体相当于阻值为无穷大的纯电阻。
左边RLC串联支路:

(5)当交变电压的频率f>fp时,整个电路又呈容性,此时石英晶体又相当于电容。
可见给石英晶体加上不同频率的交变电压时,晶体相当于“变色龙”,它可以等效为小阻值的电阻,也可以等效为大阻值的电阻;可以等效为电容也可以等效为电感。
