|
欧 姆 定 律 |
1、无源支路: 式中:U----支路端(V) ------I----支路(A) ------R----支路(Ω) ------±---U与I同向取+号,否则取-号 图A |
![]() | |||||||||
|
欧 姆 定 律 |
2、有源支路 式中:E----支路(V)U、I、R与无源支路同 -----±U与I向、E与I同向取+号,否则取一号 图A |
![]() | |||||||||
|
欧 姆 定 律 |
3、全 式中:E1、E2--回路电动势(V) ------I-------回路电流(A) ------ΣR-----回路电子之和(Ω) ------±------E1、E2与I同向取+否则取-号 |
![]() | |||||||||
|
导 体 电 阻 |
|
![]() | |||||||||
|
导 体 电 阻 与 温 度 关 系 |
式中: ------ -------a----导体的电阻(1/℃) -------t----温度(℃) |
||||||||||
|
电 导 与 电 导 率 |
|
||||||||||
|
功 率 |
式中:P--功率(W) ------U--电压(V) ------I--电流(A) ------R--电阻(Ω I不变(电阻串联)时,P与R成正比 U不变(电阻并联)时,P与R成反比 |
||||||||||
|
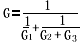
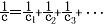
电 阻 串 、 并 、 复 联 |
串联:电阻:
|
![]() | |||||||||
|
电 阻 串 、 并 、 复 联 |
|
![]() | |||||||||
|
电 阻 串 、 并 、 复 联 |
|
![]() | |||||||||
| 器串、并、复联 |
|
![]() | |||||||||
| 电容器串、并、复联 | 并联: 当n个相同等的CO并联时C=nco |
![]() | |||||||||
| 电容器串、并、复联 | 并联: 当n个相同等的CO并联时C=nco |
![]() | |||||||||
| 屏蔽线圈串、并联的等效 | 串联 |
![]() | |||||||||
| 屏蔽线圈串、并联的等效 |
|
![]() | |||||||||
| 电池串、并联 |
|
![]() | |||||||||
| 电池串、并联 |
| ||||||||||












