有关元件的作用。
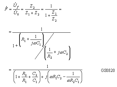
图Z0820中RC串并联网络在低、高频时的等效电路如图Z0821所示。这是因为在频率比较低的情况下,(1/ωC)>R,而频率较高的情况下,则(1/ωC)<R,前者等效于一节超前型移相电路,后者等效于一节滞后型移相电路。显然频率从低到高连续变化,相移从+90°到-90°连续变化,其中必存在一个中间频率f0,使RC串并联网络的相移为零。于是满足相位平衡条件。对此,可进一步作定量分析,由图Z0821(a)得:

为调节频率方便,通常取R1 = R2 = R,C1 = C2 = C,如果令ω0=1/ RC,则上式简化为:

可见,RC串并联反馈网络的反馈系数是频率的函数。由式GS0821可画出的幅频和相频特性,如图Z0822所示。由图可以看出:
当
一般两级阻容耦合放大器的增益Au远大于3,如果利用的非线性兼作稳幅环节,放大器件的工作范围将超出线性区,使振荡波形产生严重。为了改善振荡波形,实用电路中常引进负反馈作稳幅环节。图Z0820中Rf 和Re引入电压串联深度负反馈。这不仅使波形改善、稳定性提高,还使电路的输入增加和输出减小,同时减小了放大电路对选频网络的影响,增强了振荡电路的能力。通常Rf 用负的热敏电阻(Rt)代替,能自动稳定增益。假如某原因使振荡输出Uo增大,Rf上的增大而温度升高,阻值Rf 减小,使负反馈增强,放大器的增益下降,从而起到稳幅的作用。

从图Z0820可以看出,RC串并联网络和Rf、Re,正好组成四臂电桥,放大电路输入端和输出端分别接到电桥的两对角线上,因此称为文氏电桥振荡器。
目前广泛采用集成运算放大器代替图Z0820中的两级放大电路来构成RC桥式振荡器。图Z0823是它的基本电路。
文氏电桥振荡器的优点是:不仅振荡较稳定,波形良好,而且振荡频率在较宽的范围内能方便地连续调节。