LC正弦波振荡电路按其反馈的取出方式,可分为反馈式、反馈式以及反馈式振荡电路。
变压器反馈式振荡电路,又称耦合振荡电路,它是利用变压器耦合获得适量的正反馈来实现自激振荡的。
图Z0802(a)为共射调集型变压器耦合振荡电路,(b)是交流通道。图中当不考虑反馈时,由于L1、C组成的并联谐振回路作为三极管的集电极,因此,这种放大电路具有选频特性,常称为选频放大电路。L2为反馈网络,它通过耦合取得反馈信号,并将信号的一部分反馈到输入端,显然,该电路具备了振荡电路的组成环节。
一、 平衡条件
断开图(a)中的a点。设在放大电路的输入端加信号令其为L1C回路的谐振频率fO,此时三极管集电极负载可等效为一纯,若忽略其它和分布参数的影响,则
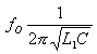
在Q值足够高和忽略分布参数影响的条件下,振荡电路的振荡频率就是L1 C回路的谐振频率,即
。二、起振条件
根据自激振荡的条件,应使,对于图Z0802所示电路。可以证明其起振条件为:

式中M为绕组L1与L2之间的互感系数,rbe为三极管b、e间的等效电阻,R'为折合到L1C回路中与电感串联的等效总损耗电阻。
三、电路特点
(1)由式GS0806可知,对三极管β值要求并不太高,只要变压器同名端接线正确,则不难起振。采用变压器耦合,容易满足要求;
(2)C可以采用可变电容器,因而调节频率方便;
(3)由于变压器分布参数的限制,捺荡频率不能太高,一般小于几十M。且输出波形不太好。
图Z0803(a)是超外差收音机中常用的共基调射式变压器耦合振荡电路,图(b)是它的交流通路。图(a)中Rb1、Rb2、Re是偏置电阻,L5、C组成中频选频回路,它对振荡频率失谐,很小,可视为短路。Cb是高频旁路电容,对振荡信号相当于短路,从而使呈共基接法。L1、L2同C2、C3、Ca组成LC谐振回路。其中Ca为振荡电容,改变Ca的数值,可调节振荡频率。C2为垫整电容,C3为补偿电容,它们是为保证波段的低、高端频率跟踪而设置的,其原理将在第十单元讲述。L3是反馈线圈,为了保证相位平衡条件,变压器同名端应按图中所示接法联接。
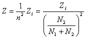
图Z0803(a)中振荡回路是通过耦合电容C1部分接入到发射极极的。这样共基极电路的Zi虽然很小(约100Ω),但折合到3、5两端的阻抗Z就增大许多倍,使得晶体管输入阻抗对振荡回路的影响大大减弱,不会严重降低回路的Q值,从而使输出波形较好,又利于起振。
设

例如晶体管收音机本机振荡线圈LTF-1-1,总匝数N1 + N2 = 146匝,N2 = 8匝,则Z=333Zi。这相当于把晶体管的输入阻抗Zi 提高了333倍。
共基振荡电路振荡频率高,而且比较稳定,容易起振、应用比较广泛。