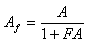
将负反馈基本关系式
则

上式表明,闭环放大倍数的相对变化量仅为开环放大倍数相对变化量的(1+FA)分之一。也就是说闭环放大倍数的稳定性比开环放大倍数的稳定性提高了(1+FA)倍。
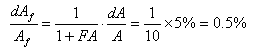
例如:当(1+FA)= 10时,Af的相对变化量只有A相对变化量的1/10,若未加反馈前放大电路的开环放大倍数变化5%,即dA/A = 5%,而引入负反馈后,放大电路的闭环放大倍数的变化量为

可见,引入负反馈以后:,放大电路放大倍数的相对变化量减小到0.5%,即放大电路的相对稳定性提高了10倍。
从负反馈的自动调节原理来看,尽管放大倍数A的变化,引起Xo的变化,但因负反馈的作用,使 也随Xo而变化,且与的变化趋势相反,其结果使Xo 可以自动保持稳定,从而提高了Af = Xo/XI的稳定性。这里Af的具体含义同样由电路的组态决定。