●
品书香
>
电子设备技术
>
电器电路基础
>
放大电路的动态图解分析
放大的动态特性是由交流通路决定的。从图Z0204所示交流通路的输出回路可得:
U
CE = -
I
C
(
=
R
C∥
R
L) GS0214
由于正确设置静态工作点之后,各极、均可等效为信号变量与静态直流量的线性迭加。即
i
C =
I
C +
i
c GS0215
U
CE =
U
CE +
u
ce GS0216
将式GS0215和GS0216代入式GS0214可得:
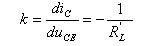
它反映了输入交流信号后与uCE 的变化规律,为斜率
是由交流 决定的一条直线,故称为
交流负载线
。
因为交流信号为零的瞬时,放大电路处于静态,所以,交流负载线必然通过
Q
点。如图Z0208。
上一篇:
放大电路的静态图解分析
下一篇:
输出电压的最大幅度与非线性失真分析
热点内容
·
无线遥控收发器
·
怎么让windows xp可以自动
·
认识几个容易被误认为病毒
·
RC正弦波振荡电路
·
如何安装WIN8系统
·
LNBF如何输出两种极性信号
·
2.4GHz无线鼠标配对原理
·
在Linux 5.0桌面版安装ora
·
厚膜电阻
·
OLED显示器显示原理