Google UX研究员的这篇《基于现实生活的社交网络》,提出了一个有趣的用户体验问题:在用户Gmail的联系人列表中,有他亲近的人,也有他不亲近的人。但所有这些人都无区别的列在一个大群组里面。如果这个联系人列表中有我不想聊天的人,而如果我害怕这种人看见自己在线并跟我打招呼,那我就会隐身。于是列表中的所有人都会看到我隐身。这种用户体验糟透了。因为我关心的人、我希望聊天的人都会看到我“离线”了。
不过事实上作者也承认,无论怎样改善用户体验,也几乎不可能设计出能满足所有种类关系的产品。不妨看下面的例子:

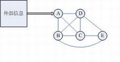
A,B,C,D,E组成一个双向社交网络,A试图传达信息M给B,C,D,但他不想把这个信息让E看到,但由于知道网络BCDE的存在,他不能保证他的信息不被B,C,D转发,所以在经斟酌后,他决定放弃发布信息M。
在这里,外部信息M本可通过A传达至B,C,D,但由于A不愿意让这条信息被E看到,导致其传播路径到A处终止这样的现象,不妨称之为社交洞。
实际上,我们每时每刻都在进行自我审查,办公室内拿老板开玩笑的笑话,不能讲给和老板过熟或者嘴巴不是很严的人,电脑里面到底有什么片子,也肯定不会让心仪女孩的闺蜜看到,谁是Pacific Western University 的学历,绝对要禁止让方舟子知晓,若是遇到前女友出席的聚会,也肯定要光光鲜鲜才会出现。
通过自我审查,人们在有意识的向社交网络发布一些信息,并屏蔽一些信息。社会导向在这一隐蔽的信息筛选中,对普通用户创造信息的倾向作用相当巨大。一般的实名社交网络体系,只是移植了人们现实生活的关系网,并制约人们发布与社会价值体系有明显冲突的信息,但当社会共识缺乏,阶层分裂严重,用户社交网络中的不同人群观点分歧巨大时,即使只是对某种现象表明看法,也可能让人三思而后行。信息过度筛选的后果,就是实名SNS中社交洞的不断产生,假如用户在现实中就不可能拥有一个可以稳定的传播信息的网络,那么,试图把它移植到网上的SNS自然是天生跛脚的。
另外,成功学与功利主义的盛行,社会评估标准的单一,更进一步缩减了普通用户传播信息的选择。其一方面导致网络内传播的信息趋于雷同,另外一方面使得网络中收益低于自我心理预期的用户自觉淡出该网络。这也可以作为国内SNS为何如此依赖游戏应用的一项可能解释。如何营造更健康的社区体系,保证用户更多的信息分享在该网络内可以受益,是横向类SNS不可不考虑的问题。即使不考虑受困于管制的部分内容,也大有文章可以做。