位置:
哆来咪
>
曲谱
>>
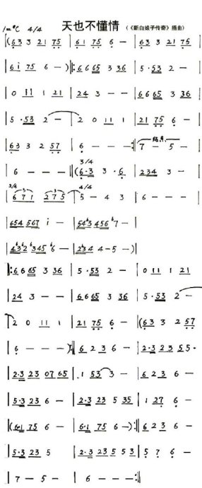
天也不董情
天也不董情 歌谱 曲谱 乐谱
←
弯弯的月亮 歌谱 曲谱 乐谱
→
情仇爱恨 歌谱 曲谱 乐谱